程小卫1,2,李 易2,陆新征1,纪晓东1
(1.清华大学 土木工程安全与耐久教育部重点实验室,北京 100084;2.北京工业大学 城市与工程安全减灾教育部重点实验室,北京 100124)
摘 要:精确模拟车辆撞击建筑物的受力和变形需建立精细的数值模型并消耗大量的计算时间。但建筑结构防撞设计只针对被撞结构,合理地简化车辆模型能够在保证计算精度的同时提高计算效率。该文首先基于能量守恒原理建立了 45°斜向撞击方柱的车辆简化数值模型,并在此基础上分析了撞击方向对柱变形和损伤的影响。分析表明:简化车辆模型能够准确模拟车辆斜向撞击方柱时的撞击力、撞击冲量、柱变形和材料应变响应,同时有效地提高了计算效率;相比正面(90°)撞击,斜向(45°)撞击时车辆变形耗能较小,造成柱损伤和变形更大。
关键词:简化车辆模型;方柱;斜向撞击;撞击力;柱损伤
随着城市规模的日益扩大和机动车辆的不断增加,道路周边建筑物遭受汽车撞击发生倒塌的事件时有发生。另一方面,近年来随着国际形势的变化,车辆撞击建筑物恐怖事件频频发生。这对建筑结构防撞击倒塌设计提出了新的挑战。在汽车研究领域,通过碰撞试验和数值手段分析车辆的受力和变形特性已比较成熟[1]。而在土木工程领域,研究和设计主要关注的是结构系统的受力和变形。
近年来,国内外学者对撞击荷载下的结构构件进行了数值研究:姜华等[2]使用弹塑性盖帽模型研究了受冲击作用的钢筋混凝土梁。程小卫等[3]对刚体撞击钢筋混凝土柱的动力响应进行了参数分析,研究了柱的典型破坏模式和撞击响应。Al-Thairy等[4]研究了不同轴压比下侧向撞击的钢柱动力特性和破坏模式。Thilakarathna等[5]研究了钢筋混凝土轴压柱在侧向冲击荷载下动力特性和损伤。Fujikake等[6]对钢筋混凝土梁进行了试验研究,并在此基础上提出了双自由度质量-弹簧-阻尼体系来模拟钢筋混凝土梁在撞击荷载下的动力响应。整体车辆撞击结构也有研究:El-Tawil等[7]对车辆撞击桥墩进行了数值研究,研究发现撞击力峰值与撞击速度基本成线性关系。Huynh等[8]通过实验研究了高强混凝土、高强度芯活性粉末外壳混凝土以及活性混凝土三种类型矩形柱冲击实验。Soleimani等[9]开展了钢筋混凝土梁冲击实验,研究表明惯性力对碰撞下结构的动力响应影响很大,且当撞击速度达到一定临界值后,钢筋混凝土梁的抗剪承载力保持不变。
田力等[10-11]对钢筋混凝土柱在车辆撞击下的动力性能进行了数值参数研究,研究发现RC柱的侧向位移随撞击角度的增大而增大,提高混凝土强度和截面惯性矩可有效减小柱位移,柱的纵向配筋率对柱的位移影响很小。闫秋实等[12]通过实验研究了冲击荷载作用下装配式钢筋混凝土梁力学性能研究。刘思明等[13]研究了车辆质量和撞击角度对重型车辆撞击桥墩时产生的撞击力的影响。陆新征等[14]对超高车辆撞击桥梁上部结构的破坏机理和撞击荷载进行了研究。对于真实车辆撞击建筑结构的研究很少,其主要原因是碰撞问题的高度非线性,所要求的精细的车辆和建筑结构有限元模型大大的增加了计算时间。为此,程小卫等[15]基于多尺度模型对撞击作用下的RC框架的简化模型进行了研究。
车辆撞击建筑结构涉及车身和结构的几何大变形、材料的压碎和断裂、两者的接触和摩擦等一系列复杂非线性力学行为。为了简化这类碰撞分析,Al-Thairy[4]提出了车辆正向(90°)撞击柱子的简化车辆模型,这样在结构的撞击分析时,就可以用非常简单的组合元件模型来模拟车辆的撞击作用,从而大幅降低计算分析的时间。在实际撞击事件中,大多数情况下撞击是斜向的。为此,本文在Al-Thairy[4]研究的基础上,采用能量守恒原理建立了 45°斜向撞击方柱时的简化车辆模型,并通过撞击刚性柱和钢筋混凝土柱的算例验证模型的合理性。最后对车辆撞击钢筋混凝土柱的撞击力时程曲线和撞击角度对车辆变形刚度的影响进行了分析。研究结果为建立准确高效的车辆撞击建筑结构的数值模型提供参考,并为简化车辆撞击建筑结构的撞击力时程曲线和建筑结构的防撞设计建立基础。
本文的精细车辆模型(C2500 Pickup)源于美国碰撞分析中心 NCAC (National Crash Analysis Center)[1]网站。模型共251个部件(part),58126个单元(element),详细有限元模型如图1所示。撞击过程的仿真采用基于显式动力分析的方法,相关理论和参数设置见文献[3]和文献[10]。

图1 C2500 Pickup有限元模型
Fig.1 Finite element model of C2500 Pickup

图2 试验和数值模拟撞击力时程曲线对比
Fig.2 Comparison of impact force between numerical and experimental results

图3 试验和数值模拟撞击冲量时程曲线对比
Fig.3 Comparison of impact impulse between numerical and experimental results
为验证模型和方法的正确性,对NCAC关于车辆撞击刚性墙(v=55.8 km/h)试验进行了模拟,并对试验结果、文献模拟和本文模拟的撞击力曲线和撞击冲量进行了对比(图2和图3所示)。可以看出:试验和模拟的撞击力变化趋势,撞击持续时间和撞击总冲量吻合较好;与实验撞击力峰值相比,数值模拟的撞击力峰值附近呈现短暂脉冲的特性,其主要原因是有限元模型中假定车辆的发动机是刚性。但是这个偏差在本文后续研究中并不存在,其主要原因是:1) 撞击力峰值主要由两个撞击体中刚度小的决定,模拟的NCAC实验峰值取决于车辆发动机(刚性墙刚度大很多),而车辆撞击钢筋混凝土柱时,撞击力峰值取决于混凝土柱(发动机刚度大很多),所以采用该标准车辆有限元模型不影响车辆撞击混凝土柱的撞击力峰值;2) 车辆撞击结构柱的动力响应主要与撞击的总冲量有关,短暂峰值脉冲不会对结构柱的响应产生明显影响。因此,该车辆模型能满足土木工程精度要求,可用于后文研究。
车辆极限变形距离Cmax指撞击过程中车辆前端所能发生的最大变形,通常与发动机的位置有关。该值可衡量车体撞击过程中可吸收的最大能量,是后续研究的关键参数。为此,本节采用不同速度(v=36 km/h、56 km/h、72 km/h和90 km/h)撞击刚性墙确定其取值,计算结果如图 4所示。可以看出:撞击速度为36 km/h时,车辆变形随着撞击接触时间不断增加,t=80 ms时变形达到峰值442 mm;并在t=0.15 s时减小为349 mm,车辆未达到极限变形。而速度为56 km/h、72 km/h和90 km/h时,车辆的变形随着时间依次增加到峰值653 mm、671 mm和699 mm,最终稳定为600 mm左右。综合考虑,取Cmax=600 mm。

图4 不同碰撞速度下车辆变形时程曲线
Fig.4 Deformation time histories of vehicle at different impact velocities
Al-Thairy等[4]提出了车辆正向撞击柱子的简化车辆模型,如图5(a)所示,包括三部分:刚性面、刚性体和弹簧。刚性面模拟车辆与柱子的接触,刚性体模拟车辆的质量,弹簧模拟车辆变形刚度。根据Milner等[16]的研究,车辆端部变形与撞击力成双线性,如图5(b)所示。变形小于Cmax时车辆变形刚度为K1;车辆变形达到Cmax之后,刚度为K2,且K2远大于K1。可见,车辆简化模型的研究重点是确定弹簧的弹性刚度K1。本节将基于能量守恒原理推导45°斜向撞击方柱时的K1计算公式。

图5 车辆简化模型
Fig.5 Simplified model of vehicle
经大量试算发现,斜向撞击方柱时,车辆变形轮廓如图6(a)所示。由于车辆两端变形很小,且撞击力也较小,所以将变形轮廓简化为图6(b),其中:横轴(W)为车辆宽度方向,纵轴(C)为车辆长度方向,Cmax为车辆极限变形(取600 mm),hc为方柱对角线长度,Wr是车辆宽度(取1800 mm)。

图6 车辆45°斜向撞击方柱变形轮廓
Fig.6 Deformed contour of vehicle impacting square column in 45°angle
基于车辆简化计算模型,可得撞击过程中车辆的变形能为:
其中:Wr为车辆的宽度,取1800 mm;C为车辆纵向的变形,是车辆宽度W的函数;F(C)为撞击力,是车辆纵向变形C的函数,由下式计算[17]:
其中:A、B是常数,计算公式如下所示:
其中:M是车的质量;b0=2.2 m/s;b1计算公式为:
其中:v=56 km/h;Cmax=600 mm
根据车辆变形轮廓简化模型(图 6(b)),对于车辆变形C与车辆宽度W的关系,可表示为:当:![]()
当:
时,有:
将式(2)~式(6)代入式(1),可求得:
其中,D、E计算公式为:

对于简化模型中弹簧的弹性变形势能为:
其中,K1为弹簧弹性刚度。
根据能量相等原则,车辆撞击过程中的变形能等于弹簧的弹性变形势能,即:
则弹簧的弹性刚度:
弹簧刚度公式的合理与否是简化车辆最为关键的因素。本节将采用精细车辆模型撞击刚性柱对式(11)进行验证。采用刚性柱的主要原因是:刚性柱在撞击过程中不参与变形,可以独立研究车辆自身的变形特性。撞击速度为36 km/h、56 km/h、72 km/h和90 km/h,刚性柱截面尺寸为300×300 mm、550 mm×550 mm和800 mm×800 mm。刚性柱采用实体单元(Solid164),材料为刚性材料(MAT_RIGID),柱边界为两端固端,车辆与柱之间为自动面面接触ASTS[18],有限元模型如图7所示。

图7 车辆撞击刚性柱有限元模型
Fig.7 Finite element model of vehicle impacting rigid column
图 8(a)~图 8(c)对比了精细车辆撞击刚性柱时车辆变形刚度曲线(F-C)与式(11)计算结果,可以看出:车辆的变形刚度与式(11)计算结果吻合较好;但当撞击速度小于 56 km/h时,由于车辆变形C<Cmax,车身变形能较小,所以数值结果略小于计算。其次,可以看出,车辆的变形刚度K2远大于K1,通过与数值结果对比,本文数值分析时假定K2是K1的20倍,即:
本节通过对比精细车辆模型和简化车辆模型撞击钢筋混凝土(RC)柱的力学响应验证本文建立的简化模型。共选择了3种RC柱,柱高度(H)均为4200 mm,截面分别为300 mm×300 mm、500 mm×500 mm和800 mm×800 mm,有相同的纵向配筋率(ρ=1.9%)和箍筋间距(d=150 mm),柱两端为固定端。

图8 刚度计算公式验证
Fig.8 Validation of calculated formula for stiffness
有限元模型的建立过程,单元的选择以及钢筋和混凝土的材料模型同文献[3]和文献[15]。有限元模型如图9所示。
撞击模拟中,系统总能量是否守恒、能量转化关系是否合理和沙漏能是否得到控制是数值模型合理性验证最常用的依据。本节采用车辆 56 km/h的速度撞击截面为550 mm×550 mm的RC柱为例进行说明,计算结果如图 10所示。可以看出:车辆撞击过程中总能量基本守恒,能量转化关系合理,以及沙漏能得到有效的控制,车辆的初始动能91%转化为内能,8%转化为沙漏能。其他算例与其类似,在此不一一赘述。

图9 撞击RC柱有限元模型
Fig.9 Finite element model of RC column subjected to vehicular impact

图10 系统能量转化曲线
Fig.10 Transformation curves of system energy
采用LS-DYNA中损伤指数δ评价混凝土塑性损伤程度[19],其物理意义为:δ=0时指混凝土处于弹性阶段;0<δ<1指混凝土处于强化阶段;1<δ<2指混凝土处于软化阶段,而δ=2指混凝土完全失去承载力。4.2.3将对比真实车辆和简化车辆撞击RC柱的变形和损伤情况,以此验证简化模型的合理性。
图 11对比了精细车辆模型和简化车辆模型以56 km/h撞击时,柱子在不同时刻的变形和损伤云图。其他撞击速度类似,鉴于篇幅,在此不一一分析。可以看出:对不同截面尺寸的柱,简化车辆模型均能较好地模拟精细车辆模型撞击时RC柱的损伤、变形和破坏模式。其中截面为300 mm×300 mm的柱子,在冲击作用下首先发生整体弯曲变形(图10(a)),并最终在柱底发生了剪切破坏(图 11(b))。其主要原因是0.05 s之前撞击力比较小,变形主要集中在车辆端部;在0.05 s之后车辆变形达到极限变形Cmax,此时,柱子开始变形。对于截面为550 mm×550 mm和800 mm×800 mm的柱子,车辆从接触柱子到撞击结束,柱子的变形和损伤都主要集中在撞击点位置,其主要原因是柱子越大,车辆端部变形越大,车辆的初始动能均被车辆自身变形吸收,进而导致柱变形和损伤很小。

图11 柱塑性损伤云图
Fig.11 Plastic damage contour of column
撞击力是建筑结构防撞设计的重要依据。图12对比了精细车辆模型和简化车辆模型撞击RC柱时的撞击力。可以看出:简化车辆能准确的模拟真实车辆的撞击力时程曲线。典型的撞击过程有四个受力阶段,以撞击速度为56 km/h、柱截面尺寸为300 mm×300 mm 的算例为例,包括:1) 弹性撞击阶段(0 ms<t<40 ms),即从车辆从刚接触柱到其端部变形达到Cmax,此阶段变形主要集中在车辆端部,撞击力随车辆变形基本成线性增加,最终达到弹性撞击阶段撞击力值Fe;2) 振荡阶段[20](40 ms<t<50 ms),即车辆端部变形达到Cmax,车辆的发动机和柱开始接触,变形刚度很大(接近刚性),此时撞击力迅速增加达到峰值Fp,随后在该瞬时增大的撞击力作用下车辆与柱子分离,撞击力迅速减小;3) 稳定阶段(50 ms<t<85 ms):即车辆在惯性作用下与柱子发生二次撞击,其撞击力将稳定在一个值Fa附近,持续较长的时间,撞击力主要在这个阶段做功;4) 衰减阶段(85 ms<t<95 ms),在经历上述阶段之后,撞击力开始衰减,最后减小为零。对于柱截面为550 mm×550 mm和800 mm×800 mm,撞击力曲线只存在两个阶段:弹性撞击阶段(0 ms<t<40 ms)和振荡阶段(40 ms<t<78 ms),其主要原因是柱子截面较大,车辆变形较大,车辆初始动能大多数转化为车辆的变形能,柱子的损伤主要集中在局部,不存在瞬间分离和二次撞击过程。

图12 精细车辆模型与简化车辆模型撞击力时程曲线对比
Fig.12 Comparison of impact force time histories between detailed model and simplified model of vehicle
图13(a)~图13(c)对比了车辆以56 km/h撞击不同截面的柱子时,撞击位置处钢筋应力时程曲线。可以看出:简化车辆模型能准确模拟真实车辆撞击柱子时钢筋的受力。当柱截面为300 mm×300 mm时,初始阶段,柱钢筋应力很小,然后迅速增加至屈服并强化,最后迅速减小为零。其主要原因是在初始阶段,变形主要集中在车辆端部;随着车辆变形达到Cmax,柱开始变形,钢筋应力迅速增加,最后钢筋被拉断轴力迅速被释放减小为零。而撞击550 mm×550 mm和800 mm×800 mm柱子时,由于柱截面较大,车辆初始动能主要被车辆端部变形吸收,柱子变形很小,且主要集中在局部,所以钢筋应力很小。


图13 柱钢筋应力时程曲线
Fig.13 Reinforcement stress time histories of columns
图 14对比了真实车辆和简化车辆撞击不同截面柱时撞击冲量随速度变化曲线,可以看出:简化车辆能准确模拟真实车辆撞击时冲量的的变化,且柱截面为550 mm×550 mm和800 mm×800 mm时,撞击冲量撞击速度成线性增加;柱截面为300 mm×300 mm,撞击速度从36 km/h~56 km/h时,撞击冲量成线性增加,而速度大于56 km/h之后,撞击冲量呈现下降趋势,其主要原因是当速度大于56 km/h之后,柱子被撞断,导致车辆与柱接触时间变短,撞击冲量减小。

图14 不同撞击速度和不同柱截面下撞击冲量对比
Fig.14 Comparison of impact impulse between detailed model and simplified model of vehicle for different columns and velocities
图 15(a)~图 15(b)给出了车辆以不同速度撞击不同截面柱子时,柱位移峰值和位移稳定值随撞击速度变化的曲线。可以看出:简化车辆能准确模拟真实车辆撞击柱子时柱子位移峰值和稳定值。柱截面为300 mm×300 mm时,柱位移峰值随撞击速度增大而增加,柱位移稳定值在速度为36 km/h时为48 mm,而速度为56 km以上时接近零,其主要原因是柱子因变形过大被撞断。柱截面为550 mm×550 mm和800 mm×800 mm时,在速度较小时,柱变形峰值和稳定值都很小,速度大于72 km/h时,其位移变形峰值和稳定值均增大。由此可见,简化模型能够很好地模拟撞击下结构的变形响应。

图15 柱位移峰值和稳定值对比
Fig.15 Comparison of peak and steady deformations of columns
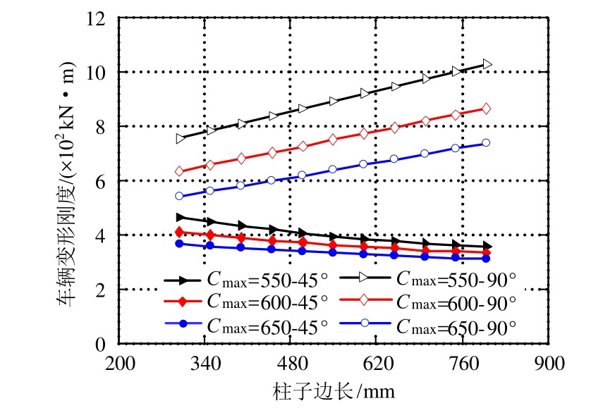
图16给出了采用简化车辆模型对不同车辆(具有不同Cmax)沿90°正向和45°斜向撞击不同截面柱时的车辆变形刚度K1。可以看出:相同的车辆(相同的Cmax)90°正向撞击的变形刚度K1大于45°斜向撞击,主要原因是正向撞击时车辆的变形更大,导致车辆的初始动能更多转换为车辆的变形能,如图17(a)所示。两种撞击下车辆的变形能满足以下关系:
其中:IE90为90°正向撞击时的变形能;IE45为45°斜向撞击时的变形能;IE1为车辆阴影部分变形吸收的能量。
90°正向撞击时,车辆端部变形刚度K1随车辆极限变形Cmax增大而减小。其主要原因是车辆的变形能随Cmax增大成线性增加,而弹簧的弹性势能随Cmax成二次方增加[4]。其次,随撞击柱截面的增大,车辆的变形增大(图 17(b)),进而导致变形刚度K1增大。且有以下关系式:
其中:IEh1、IEh2和IEh3分别指柱截面为h1、h2和h3时车辆撞击的变形能,IE2、IE3为正向撞击时车辆时阴影部分变形吸收的能量。
45°斜向撞击时,车辆端部的变形刚度K1随车辆极限变形Cmax增大而减小,其结论也可由式(7)得。其次,随着撞击柱截面的增大而减小,其因为车辆的变形能随柱子的增大而减小(图16(c)),且有以下关系式:
其中:IEh1、IEh2解释同上;IE4、IE5为车辆斜向撞击时阴影部分变形吸收的能量。

图16 不同撞击柱、撞击速度和撞击角度下车辆变形刚度
Fig.16 Stiffness of vehicle for different columns, impacting direction and ultimate deformation of vehicle

图17 车辆正向和斜向撞击不同柱时的变化轮廓
Fig.17 Deformation contour of vehicle for different impacting directions and columns
综上可见,简化车辆模型中弹簧的刚度不仅与车辆的类型有关,也与撞击的角度和被撞击柱的截面尺寸有关。且对于同一柱子,相比正向撞击,车辆斜向撞击造成柱的变形和损伤更为严重,其主要原因是:斜向撞击时,车辆变形吸收的能量较少,更多的能量被柱子吸收;其次,车辆斜向撞击时,尽管柱子的抗弯变形刚度EI保持不变,但是截面的抗弯承载力明显减小。为此,在建筑结构柱防撞设计时,应考虑撞击方向的影响。
表1对比了精细车辆和简化车辆以56 km/h的速度撞击RC柱时的计算时间,其他算例的计算结果类似,可以看出简化车辆模型可大大提高计算效率,其计算时间约为精细模型的8.2%。
表1 计算效率对比
Table 1 Comparison of computational efficiency

本文首先采用LS-DYNA研究了车辆斜向撞击方柱的变形轮廓,并基于能量守恒原理建立了车辆45°斜向撞击方柱时的简化车辆模型。最后通过与精细模型对比,验证了简化车辆模型的合理性,并在此基础上分析了撞击角度、柱截面尺寸和车辆极限变形距离对车辆变形刚度的影响。主要结论为:
(1) 本文提出的简化车辆模型能够准确地模拟车辆斜向撞击RC柱时撞击力、撞击冲量、柱变形和钢筋受力等特性,同时可有效的提高计算效率。为以后车辆撞击构件和建筑结构的数值研究提供了高效合理的分析手段。
(2) 撞击角度、撞击柱截面尺寸和车辆的极限变形距离对车辆的变形刚度均有影响。柱截面和车辆极限变形距离越大,车辆变形刚度越大;相比车辆正向撞击,斜向撞击时车辆变形刚度较小,吸收能量的能力越弱,造成柱子的变形和损伤更大,因此在建筑结构防撞设计时应考虑撞击方向的影响。
参考文献:
[1]NCAC.Finite element model archive [CP].Http://www.ncac.gwu.edu/ncac/vml/models.html, 2006-08-28.
[2]姜华, 贺拴海, 王君杰.钢筋混凝土梁冲击试验数值模拟研究[J].振动与冲击, 2012, 31(15): 141―145.Jiang Hua, He Shuanhai, Wang Junjie.Numerical simulation of the impact test of reinforced concrete beams [J].Journal of Vibration and Shock.2012, 31(15):141―145.(in Chinese)
[3]程小卫, 李易, 陆新征, 闫维明.撞击荷载下钢筋混凝土柱动力响应的数值研究[J].工程力学, 2015,32(2):53―64.Cheng Xiaowei, Li Yi, Lu Xinzheng, Yan Weiming.Numerical investigation on dynamic response of reinforced concrete columns subjected to impact loading[J].Engineering Mechanics, 2015, 32(2):53―64.(in Chinese)
[4]Al-Thairy H.Behavior and design of steel columns subjected to vehicle impact [D].Britain: University of Manchester, 2012.
[5]Thilakarathna H M I, Thambiratnam D P, Dhanasekar M,Perera N.Numerical simulation of axially concrete columns under transverse impact and vulnerability assessment [J].International Journal of Impact Engineering, 2010, 37(11): 1100―1112.
[6]Fujikake K, Li B, Soeun S.Impact response of reinforced concrete beam and its analytical evaluation [J].Journal of Structural Engineering, ASCE, 2009, 135(8): 938―950.
[7]El-Tawil S, Severino E, Fonseca P.Vehicle collision with bridge piers [J].Journal of Bridge Engineering, ASCE,2005,10(3):345―353.
[8]Huynh L, Foster S, Valipour H.High strength and reactive powder concrete columns subjected to impact:Experimental investigation [J].Construction and Building Materials, 2015,78(3): 153―171.
[9]Soleimani S M, Banthia N, Mindess S.Behavior of RC beams under impact loading: some new findings [C].Catania, Italy.London: Taylor & Francis, Proceedings of the 6th International Conference on Fracture Mechanics of Concrete and Concrete Structures, 2007, 2: 867―874.
[10]田力, 杜彬.钢筋混凝土柱在汽车撞击作用下的性能研究[J].沈阳建筑大学学报, 2015, 31(1): 1―10.Tian Li, Du Bin.Research on performances of reinforced concrete column under vehicle impact [J].Journal of Shengyang Jianzhu University, 2015, 31(1): 1―10.(in Chinese)
[11]田力, 朱聪, 王浩, 等.碰撞冲击荷载作用下钢筋混凝土柱的动态响应及破坏模式[J].工程力学, 2013, 30(2):150―155.Tian Li, Zhu Cong, Wang Hao, et al.Dynamic response and failure modes of RC columns under impact [J].Engineering Mechanics, 2013, 30(2): 150―155.(in Chinese)
[12]闫秋实, 邵慧芳, 李亮.冲击荷载作用下装配式钢筋混凝土梁力学性能研究[J].工程力学, 2017, 34(4):196―205.Yan Qiushi, Shao Huifang, Li Liang.Study on the behavior of reinforced concrete beams under impact loading [J].Engineering Mechanics, 2017, 34(4): 196―205.(in Chinese)
[13]刘思明, 崔堃鹏, 夏禾, 等.基于LS-DYNA的车辆对桥墩撞击力仿真分析[J].铁道标准设计, 2013(8): 70―74.Liu Siming, Cui Kunpeng, Xia He, et al.Dynamic simulation analysis based on LS-DYNA about impact force on bridge pier caused by vehicle [J].Railway Standard Design, 2013(8): 70―74.(in Chinese)
[14]陆新征, 张炎圣, 何水涛, 等.超高车辆撞击桥梁上部结构研究:损坏机理与撞击荷载[J].工程力学, 2009,26(增刊): 115―125.Lu Xinzheng, Zhang Yansheng, He Shuitao, et al.Collision between over-high trucks and bridge superstructures: damage mechanism and impact loads [J].Engineering Mechanics, 2009, 26(supplement): 115―125.(in Chinese)
[15]程小卫, 李易, 陆新征, 等.基于多尺度模型的RC框架撞击倒塌相应数值分析[J].振动与冲击, 2016, 35(5):82―89.Cheng Xiaowei, Li Yi, Lu Xinzheng, et al.Numerical analysis for collapse response of a RC frame subjected to impact loading based on multi-scale model [J].Journal of Vibration and Shock, 2016, 35(5): 82―89.(in Chinese)
[16]Milner R, Grzebieta R H, Zhou R.Theoretical Study of a Vehicle-Pole Impact [C].Monash University, Melbourne,Australia, Proceedings Road Safety Research, Policing and Education Conference, 2001.
[17]Campbell K E.Energy basis for collision severity [C].Troy, Michigan, America, Presented at SAE Third International Conference on Occupant Protection, 1974,SAE Technical paper 740565.
[18]Hallquist J O.LS-DYNA keyword user’s manual [M].California: Livermore Software Technology Corporation,2006.
[19]张传爱, 方秦, 陈力.对DYNA3D中K&C混凝土模型探讨[J].工业建筑, 2010, 40(增刊): 288―292.Zhang Chuanai, Fang Qing, Chen Li.Discussion on K&C concrete model for concrete in DYNA3D.Industrial Construction, 2010, 40(Suppl): 288―292.(in Chinese)
[20]王蕊, 李珠, 任够平, 等.钢管混凝土梁在侧向冲击荷载作用下动力响应的试验研究和数值模拟[J].土木工程学报, 2007, 40(10): 34―40.Wang Rui, Li Zhu, Ren Gouping, et al.Experimental study and numerical simulation of the dynamic response of concrete filled steel tubes under lateral impact load [J].China Civil Engineering Journal, 2007, 40(10): 34―40.(in Chinese)
A SIMPLIFIED NUMERICAL MODEL OF VEHICLES THAT IMPACT SQUARE COLUMNS IN OBLIGUE DIRECTION
CHENG Xiao-wei1,2, LI Yi2, LU Xin-zheng1, JI Xiao-dong1
(1.Key Laboratory of Civil Engineering Safety and Durability of Ministry of Education, Tsinghua University, Beijing 100084, China;2.Key Laboratory of Urban Security and Disaster Engineering of Ministry of Education, Beijing University of Technology, Beijing 100124, China)
Abstract:The force and deformation of building structures subjected to vehicular impact can be accurately simulated by detailed numerical models which increase the computational cost significantly.However, it is the structure rather than the vehicle that should be focused on in the design of building structures against the impact loading.Therefore, to improve the computational efficiency without losing the accuracy of the numerical analysis,a simplified model of vehicles impacting columns in the oblique direction (45°) is proposed based on the energy conservation principle and the influence of the impact direction on the deformation and damage of the columns is studied.The analysis results show that the impact force, impulse, deformation and strain of columns can be captured accurately by the simplified vehicle model.Compared with the front impact (90°), the energy dissipation of the vehicle is smaller in the oblique impact (45°), which leads to larger deformation and more serious damage of the columns.
Key words:Simplified vehicle model; square column; oblique impact; impact force; damage of column
中图分类号:TU375.3
文献标志码:A
doi:10.6052/j.issn.1000-4750.2016.11.0901
文章编号:1000-4750(2018)04-0176-10
收稿日期:2016-11-21;修改日期:2017-05-06
基金项目:国家自然科学基金项目(51578018);国家重点研发计划项目(2016YFC0701400);北京市科技新星计划项目(XX2017093)
通讯作者:李 易(1981—),男,湖北人,副研究员,博士,从事工程结构防灾减灾研究(E-mail: yili@bjut.edu.cn).
作者简介:程小卫(1991—),男,甘肃人,博士生,从事结构撞击倒塌研究(E-mail: cxw15@mails.tsinghua.edu.cn);
陆新征(1978—),男,安徽人,教授,博士,所长,主要从事结构非线性计算和仿真研究(E-mail: luxz@tsinghua.edu.cn);
纪晓东(1979—),男,山西人,副教授,博士,副所长,主要从事结构抗震减震、结构健康监测研究(E-mail: jixd@mail.tsinghua.edu.cn).