潘兆东1,3,谭 平2,周福霖2,3
(1.东莞理工学院建筑工程系,东莞 523808;2.广州大学工程抗震研究中心,广州 510405;3.湖南大学土木工程学院,长沙 410082)
摘 要:为了有效处理土木工程结构分散振动控制中模型参数不确定性对系统性能的影响,提出了同时满足多个控制目标的输出反馈H∞保性能鲁棒分散控制算法。基于Lyapunov稳定性理论和线性矩阵不等式方法,给出并证明了H∞保性能鲁棒分散控制器存在的充分条件,在此基础上,采用变量替换方法,建立了输出反馈H∞保性能鲁棒分散控制算法,进而通过引入约束条件,将其转化为具有线性矩阵不等式约束的凸优化问题。针对一 12层结构进行分散控制设计、集中控制设计及仿真分析。结果表明,对于具有较大不确定性的结构,输出反馈 H∞保性能鲁棒分散控制算法较传统线性二次高斯集中控制算法有更理想的控制效果。
关键词:主动控制;鲁棒分散控制;H∞保性能控制;输出反馈;线性矩阵不等式
土木工程结构减振控制系统主要是通过在结构上安装控制装置来调整结构动力特性或者通过外部能源对结构施加外力来抵抗外荷载作用,从而减轻结构损伤和提高结构的抗灾性能。然而,随着工程结构的日益大型化、复杂化,传统集中控制策略由于其自身特点将不可避免地面临且无法有效解决地以下几个问题[1]:1) 整个控制系统信息交换异常复杂且极易造成滞后,从而导致系统集成和运行成本提高,系统的可靠性降低;2) 一旦个别传感器或作动器发生故障,则容易导致整个控制系统的故障与失效,可能造成人员和财产的巨大损失;3) 受控结构计算模型仅是实际模型的近似和简化,同时,作用于结构的外界激励(如地震、风、海浪等)也具有极强的不确定性,这必然导致由单一控制器构成的集中控制系统的稳定性及性能指标下降。因此,近年来,大系统分散控制理论在土木工程高层建筑结构振动控制领域得到一定程度的关注,文献[2-15]分别基于市场机制、神经网络、瞬时最优、滑动模态、线性二次高斯(LOG)、线性矩阵不等式(LMI)、模糊迭代、自适应、优化设计、稳定容错等方法研究了相应的分散控制算法,但均未考虑结构不确定性对系统控制性能的影响;文献[16]研究了具有鲁棒特性的滑动模态状态反馈分散控制算法;文献[17]假定保证系统 H2性质和H∞性质的两个不同Lyapunov正定矩阵相等,建立了H∞、H2状态反馈分散控制方法。然而,在实际大型工程结构减振控制应用中,状态反馈控制算法并不具备现实可操作性。
鉴于此,针对具有参数不确定的工程结构分散控制问题,本文基于 Lyapunov稳定性理论和线性矩阵不等式方法,在保证分散控制系统稳定的基础上,给出不确定系统 H∞保性能鲁棒分散控制器存在的充分条件,并对其进行证明,同时,采用变量替换方法,推导、建立了基于输出反馈的H∞保性能鲁棒分散控制算法,并通过引入约束条件,将H∞保性能鲁棒分散控制器设计过程转化为具有线性矩阵不等式约束的凸优化问题。最后,将本文所提算法应用至受控模型存在不确定性的建筑结构分散控制中。
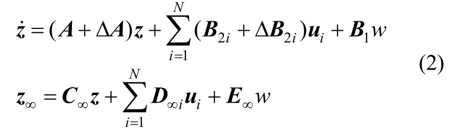
结构质量、刚度和阻尼存在不确定的控制系统动力方程可以表示为:

式中:M0、C0和K0分别为结构名义质量矩阵、阻尼矩阵和刚度矩阵;ΔM0、ΔC0和ΔK0分别表示结构质量矩阵、阻尼矩阵和刚度不确定性的矩阵;u为控制力向量;w为外部扰动(地震或脉动风荷载);Bs和Es分别为控制力位置矩阵和外部扰动位置矩阵。
将原控制系统(式(1))划分为输入分散的N个子控制系统,则可建立如下分散控制系统状态方程:

式中:
,z为系统的状态向量;B2i和ui分别为子系统i的控制力位置矩阵和控制力向量;z∞为相关被控向量;C∞和D∞i根据控制需求确定;ΔA和ΔB2i分别为反映受控模型中不确定性矩阵,其采用范数有界可描述为如下满足匹配条件的不确定形式:
式中:FTF≤I;E1和E2i为已知常数矩阵,反映结构的不确定信息。
测量输出方程为:

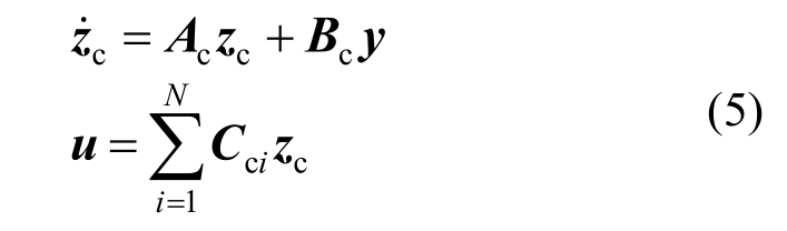
设计如下状态空间形式的动态输出反馈控制器:

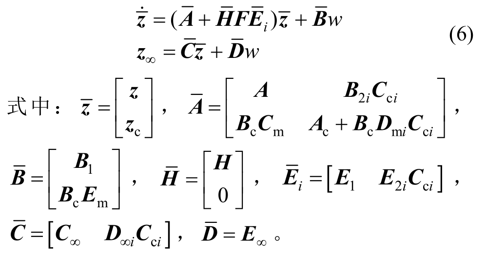
将式(5)和式(3)代入式(2),则任一闭环子控制系统状态方程可表示为:

对任一子控制系统(式(6))设计一个输出反馈H∞保性能鲁棒控制器,使得闭环子系统对所有允许的不确定性满足以下控制目标:
1) 闭环子系统是鲁棒渐进稳定的;
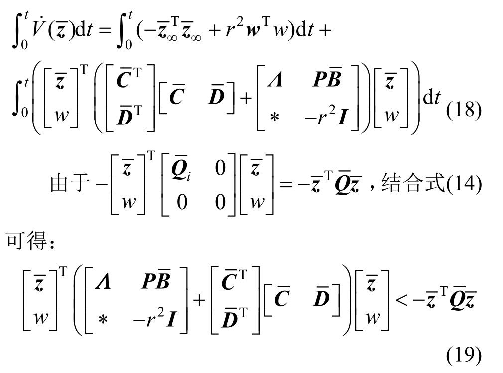
2) 从w到z∞的闭环传递函数
的H∞范数不超过给定上界r,即闭环子系统具有给定的H∞性能;
3) 闭环子系统二次型性能指标
为性能上界。
对任一子控制系统(式(6))定义如下反映结构响应信息和控制能量的二次型性能指标:
式中,
Qi为半正定权矩阵,
为正定权矩阵。
定理1对于给定上界r>0,闭环子系统满足控制目标式(1)~式(3)的充分条件是存在对称正定矩阵P,使得不等式(8)成立。

根据Schur补引理[16],不等式式(8)可以转变为:

证明:
首先证明闭环子系统鲁棒渐进稳定。定义如下Lyapunov函数:
对式(10)求导,有:

由式(9)和Schur补引理可得:

根据Lyapunov稳定性理论可知,V˙<0,即闭环子系统渐进稳定。
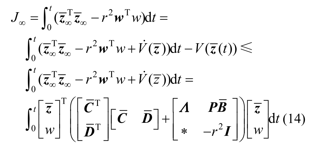
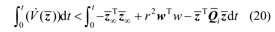
其次证明闭环子系统满足 H∞性能和二次型性能。满足H∞性能,即意味在外部扰动w作用下,系统的被调输出z∞总能保持足够小。因此,引入如下指标:

结合式(9)可得:
系统渐进稳定且初始状态为零,则令t→∞有:

式(16)成立等价于
即系统满足H∞性能。

由式(9)和式(14)可得:

则式(18)可表示为:
记
结合式(16),有:
令t→∞,则有:

为使指标J与初值无关,假定
为零均值随机变量,且
则有:
式(23)成立表明系统满足控制目标式(3)。
式(9)中包含不确定矩阵,不能直接用于控制器的设计,因此,利用如下引理对其进行分离。
引理[18]给定适当维数的矩阵Y0、D0、E0,其中Y0是对称的,则:
对所有满足
的矩阵F0成立,当且仅当存在一个常数ε>0,使得:
根据引理,可将式(9)可转变为:

式中:![]()
运用Schur补性质,并记![]()
则式(26)可以写为:

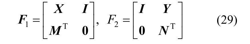
对矩阵P及其逆矩阵进行如下分块:

同时引入辅助矩阵:

式中,X和Y为对称正定矩阵,则必然存在:

采用变量替换方法将式(27)转化为与之等价的线性矩阵不等式,定义如下变量替换公式:

对式(27)分别左乘
和右乘
并结合式(31),可得:

为避免线性矩阵不等式(32)的可行解取值太大或
接近奇异等情况的出现,增加如下约束条件


定理2:对给定标量r>0和矩阵
如果以下优化问题

有解。则利用该解(
)及根据式(30)进行奇异值分解得到的M和N,通过式(31)反求Ac、Bc和Cci,即可得到形如式(6)的渐进稳定H∞保性能鲁棒子控制器。显然,问题(34)是一个具有线性矩阵不等式约束的凸优化问题,因此,可以利用LMI工具箱中的mincx求解器来求解该优化问题。
本文以一12层框架结构为例来验证本文所提输出反馈 H∞保性能鲁棒分散控制算法的有效性。该结构长28.8 m,宽15 m,高40.2 m(见图1)。层高首层3.9 m,其余各层3.3 m,柱和梁的设计参数见表1。荷载布置满足《建筑结构荷载规范GB 50009—2015》相关要求。结构第一周期为1.16 s。为了验证所提出的输出反馈 H∞保性能鲁棒分散控制算法,仿真分析选择三条地震波:El Centro波、N.P.Spring波和Kobe波地震激励,持时40 s,统一调幅至500 cm/s2。

图1 12层框架结构示意图
Fig.1 Plan and elevation of 12-story frame structure
表1 结构设计参数
Table 1 Design parameters of structure

考虑在结构2-9层布置作动器,每层作动器数量为:[3 3 3 3 3 2 2 2],单个作动器的最大允许出力为1000 kN。分别对该结构进行集中控制与分散控制设计,集中控制系统采用传统 LQG控制算法;分散控制系统采用输出反馈 H∞保性能鲁棒分散控制算法,分散控制系统包含两个子系统,子系统1:2层~6层,子系统2:7层~9层。输出反馈H∞保性能鲁棒子控制器设计过程中,仅考虑结构刚度具有不确定性,采用绝对加速度反馈,式(2)和式(3)中各矩阵为如下形式:

性能指标相关向量选择为:
子控制器1![]()
![]()
子控制器2![]()
![]()
分别考查基于 H∞保性能鲁棒分散控制算法设计的分散控制系统在ΔK为0、±0.15以及结构质量、刚度和阻尼同时具有(ΔK,M=+0.15,ΔC=-0.15;ΔK=-0.15,ΔM,C=+0.15;ΔM,C,K=+0.15)不确定性时的控制性能,并与鲁棒性较好的LQG集中控制系统进行比较。当结构质量、刚度和阻尼同时变化时,受控模型中ΔB2i为非零矩阵,即施加于结构的控制力存在相同程度的扰动。考虑到篇幅及不同地震激励下的分析结果具有相似规律,本文在进行减震效果分析时,仅以El Centro地震激励下结构质量、刚度和阻尼同时具有+15%不确定性的结构响应进行分析讨论。El Centro波、N.P.Spring波和Kobe波激励下,结构不同参数偏差情况的结构峰值响应平均值结果见表2和表3。
El Centro波地震激励下,考虑结构质量、阻尼及刚度同时变动+15%时,无控、集中控制与分散控制结构首层位移、基底剪力和顶层绝对加速度时程响应比较曲线分别如图2所示。对图中不同控制策略进行比较,可以发现,地震动持时内,H∞保性能鲁棒分散控制下结构首层位移、基底剪力和顶层绝对加速度响应控制效果较集中控制而言有明显改善;无控结构首层位移、基底剪力和顶层绝对加速度峰值响应分别为:20.35 mm、3.01×104kN 和9.53 m/s2,集中控制相应峰值响应分别为:15.12 mm、2.35×104kN 和6.31 m/s2,分散控制相应峰值响应分别为:11.18 mm、1.73×104kN 和4.94 m/s2,分散控制下结构相应响应的减震效果分别提高了约75%、94%和43%。
表2 刚度偏差结构峰值响应
Table 2 Peak response of structures with stiffness discrepancies

注:d/mm表示结构层间位移峰值;a/(m/s2)表示结构绝对加速度峰值。
表3 质量、刚度及阻尼偏差结构峰值响应
Table 3 Peak response of structures with mass, stiffness and damping discrepancies

El Centro波地震激励下,考虑结构质量、阻尼及刚度同时变动+15%时,无控、集中控制与分散控制结构各层层间位移峰值与绝对加速度峰值比较曲线分别如图3和图4所示。可以发现,分散控制结构各楼层层间位移较集中控制而言有更好的控制效果,首层层间位移峰值减震率提高75.4%,其他层层间位移峰值减震率提高在 30%~50%之间;结构各楼层(1层~3层除外)绝对加速度控制效果较集中控制也有较大改善,最大提高53.4%。
表2分析结果表明,结构刚度偏差在±15%以内时,集中控制和分散控制均能很好地抑制结构各层的地震响应,较刚度无偏差工况而言,分散控制的控制效果改变较小;与结构刚度偏差在±15%以内的集中控制相比,基于 H∞保性能鲁棒分散控制算法设计的分散控制结构各层层间位移峰值与绝对加速度峰值响应控制效果均得到显著改善;其中,结构刚度偏差在+15%时,集中控制结构各层层间位移峰值响应控制效果为:20%(首层)、32%~35%(其他层),结构顶层绝对加速度峰值响应控制效果为34%,分散控制结构层间位移峰值响应控制效果为:40%(首层)、44%~50%(其他层),结构顶层绝对加速度峰值响应控制效果为45%;结构刚度偏差在-15%时,集中控制结构各层层间位移峰值响应控制效果为:29%(首层)、26%~39%(其他层),结构顶层绝对加速度峰值响应控制效果为30%,分散控制结构层间位移峰值响应控制效果为:33%(首层)、30%~42%(其他层),结构顶层绝对加速度峰值响应控制效果为34%。

图2 El Centro波地震激励下结构首层层间位移、基地剪力及顶层绝对加速度时程响应(ΔM,C,K=+0.15)
Fig.2 Time history curves of the building subjected to El Centro earthquake withΔM,C,K=+0.15: interstory displacement, base shear force and absolute acceleration

图3 El Centro波地震激励下结构各层最大层间位移(ΔM,C,K=+0.15)
Fig.3 Simulation results of the building subjected to El Centro earthquake withΔM,C,K=+0.15: maximum inter-story displacement

图4 El Centro波地震激励下结构各层最大绝对加速度(ΔM,C,K=+0.15)
Fig.4 Simulation results of the building subjected to El Centro earthquake withΔM,C,K=+0.15: maximum absolute accelerations
不同地震激励下,考虑结构质量、阻尼和刚度同时出现不同偏差的情况,无控、集中控制及分散控制结构的相应分析结果见表3。可以看出,结构质量、阻尼和刚度同时出现+15%偏差情况下,集中控制结构峰值响应控制效果的下降最明显,其中位移加速度首层仅为13%,其他层在 16%~20%,结构顶层绝对加速度峰值响应控制效果为26%;而分散控制结构仍然能将结构响应控制理想范围,层间位移峰值控制效果为:36%(首层)、35%~42%(其他层),结构顶层绝对加速度峰值响应控制效果为38%。结构刚度、质量和阻尼不同向偏差情况下,基于 H∞保性能鲁棒分散控制算法设计的分散控制系统的减震效果也显著好于LQG集中控制系统。
以上分析结果表明,对于具有较大不确定性的结构模型,本文所提 H∞保性能鲁棒分散控制算法具有很好的鲁棒性,这主要是因为:1) H∞保性能鲁棒子控制器设计过程中考虑了结构不确定性、系统渐进稳定、H∞<r和JJ*≤ 多个控制目标,在保证控制效果的同时加强了分散控制系统的鲁棒性;2) 分散控制系统具有多个子控制系统,每个控制器对结构进行独立控制,其本身也具有一定的鲁棒性。
本文基于 Lyapunov稳定性理论和线性矩阵不等式方法,针对结构模型及控制输入存在不确定性的结构振动分散控制问题,给出了分散控制系统H∞保性能鲁棒控制器存在的充分条件和基于输出反馈的控制器设计方法,具体结果以线性矩阵不等式的形式给出,并以一 12层结构为例进行了分散控制系统设计与数值分析。仿真结构表明:
(1) 基于输出反馈 H∞保性能鲁棒控制算法设计的分散控制系统可将结构的响应控制在合理的范围内,说明本文所提算法的有效性与可行性。
(2) 仅考虑结构刚度偏差时,传统LQG集中控制能较好地控制结构响应,但控制效果不稳定,而H∞保性能鲁棒分散控制能获得稳定、理想的控制效果;当结构质量、刚度及阻尼同时变化时,集中控制系统的控制性能急剧下降,而采用 H∞保性能鲁棒控制算法设计的分散控制系统仍能保证很好的控制效果,表明本文提出的输出反馈 H∞保性能鲁棒分散控制算法优于传统LQG集中控制算法。
参考文献:
[1]席裕庚.动态大系统方法导论[M].北京: 国防工业出版社, 1988: 160―161.Xi Yugeng.Introduction of large scale dynamic systems[M].Beijing: National Defense of Industry Press, 1988:160―161.(in Chinese)
[2]Lynch J P, Law K H.Decentralized control techniques for large-scale civil structural systems [C]// Proceedings of the 20th International Modal Analysis Conference (IMAC XX).Los Angeles.Bellingham: Society of Photo-Optical Instrumentation Engineers, 2002: 406―413.
[3]Xu B, Wu Z S, Yokoyama K.Neural networks for decentralized control of cable-stayed bridge [J].Journal of Bridge Engineering, 2003, 8(4): 229―236.
[4]Rofooei F R, Monajemi-Nezhad S.Decentralized control of tall buildings [J].The Structural Design of Tall and Special Buildings, 2006, 15(2): 153―170.
[5]Monajemi-Nezhad S, Rofooei F R.Decentralized sliding mode control of multistory buildings [J].The Structural Design of Tall and Special Buildings, 2007, 16(2): 181―204.
[6]Loh C H, Chang C M.Application of centralized and decentralized control to building structure: analytical study [J].Journal of Engineering Mechanics, 2008,134(11): 970―982.
[7]李宏男, 李瀛, 李钢.地震作用下建筑结构的分散控制研究[J].土木工程学报, 2008, 41(9): 27―33.Li Hongnan, Li Ying, Li Gang.Decentralized control of structures under earthquakes [J].China Civil Engineering Journal, 2008, 41(9): 27―33.(in Chinese)
[8]Wang Y.Wireless sensing and decentralized control for civil structures: theory and implementation [D].Stanford,California: Stanford University, 2007.
[9]Wang Y, Lynch J P, Law K H.Decentralized H∞controller design for large-scale civil structures [J].Earthquake Engineering & Structural Dynamics, 2009, 38(3): 377―401.
[10]汪权, 王建国, 裴阳阳.地震作用下高层建筑结构的分散模糊迭代学习控制研究[J].计算力学学报, 2012,29(5): 681―686.Wang Quan, Wang Jianguo, Pei Yangyang.Decentralized fuzzy iterative learning control of tall buildings under earthquakes [J].Chinese Journal of Computational mechanics, 2012, 29(5): 681―686.(in Chinese)
[11]王建.非线性不确定性结构自适应模糊分散控制理论与试验研究[D].哈尔滨: 哈尔滨工业大学, 2011.Wang Jian.Decentralized adaptive fuzzy control theory and experiments for nonlinear uncertain structures [D].Harbin: Harbin Institute of Technology, 2011.(in Chinese)
[12]蒋扬, 周星德, 王玉.建筑结构鲁棒分散控制方法研究[J].振动与冲击, 2012, 31(6): 37―41.Jiang Yang, Zhou Xingde, Wang Yu.A robust decentralized control method for architectural structures[J].Journal of Vibration and Shock, 2012, 31(6): 37―41.(in Chinese)
[13]雷鹰, 伍德挺, 刘中华.一种适用于大型工程结构的分散振动控制方法[J].振动工程学报, 2012, 25(4): 411―417.Lei Ying, Wu Deting, Liu Zhonghua.A decentralized vibration control algorithm for large-scale engineering structures [J].Journal of Vibration Engineering, 2012,25(4): 411―417.(in Chinese)
[14]潘兆东, 谭平, 周福霖.大型结构分散控制系统的优化研究[J].工程力学, 2017, 34(1): 154―162.Pan Zhaodong, Tan Ping, Zhou Fulin.Study on optimization of large-scale structural decentralized control[J].Engineering Mechanics, 2017, 34(1): 154―162.(in Chinese)
[15]潘兆东, 谭平, 周福霖.大型结构小增益分散稳定化容错控制研究[J].工程力学, 2017, 34(6): 128―136.Pan Zhaodong, Tan Ping, Zhou Fulin.Decentralized stable fault-tolerant control for large-scale structure [J].Engineering Mechanics, 2017, 34(6):128―136.(in Chinese)
[16]Ma T W, Xu N S, Tang Y.Decentralized robust control of building structures under seismic excitations [J].Earthquake Engineering & Structural Dynamics, 2008,37(1): 121―140.
[17]孙万泉, 李庆斌.基于LMI的高层建筑结构分散H2/H∞鲁棒控制[J].地震工程与工程振动, 2007, 27(6): 218―222.Sun Wanquan, Li Qingbin.Decentralized H2/H∞robust control for large-scale building structure based on linear matrix inequalities(LMI) [J].Journal of Earthquake Engineering and Engineering Vibration, 2007, 27(6):218―222.(in Chinese)
[18]俞立.鲁棒控制: 线性矩阵不等式处理方法[M].北京:淸华大学出版社, 2002: 8―9, 87―88.Yu Li.Robust control: linear matrix inequality approach [M].Beijing: Tsinghua University Press, 2002: 8―9, 87―88.(in Chinese)
OUTPUT FEEDBACK H∞GUARANTEED COST ROBUST DECENTRALIZED CONTROL FOR BUILDING STRUCTURE WITH UNCERTAIN PARAMETERS
PAN Zhao-dong1,3, TAN Ping2, ZHOU Fu-lin2,3
(1.Department of Civil Engineering, Dongguan University of Technology, Dongguan 523808;2.Earthquake Engineering Research & Test Center, Guangzhou University, Guangzhou 510405;3.College of Civil Engineering, Hunan University, Changsha 410082)
Abstract:An output feedback H∞guaranteed cost robust decentralized control algorithm is proposed here for dealing with the influence of the parameter uncertainties of a building structure, which can meet the requirements of multiple control objectives simultaneously.Based on Lyapunov stability theory and LMI method, the sufficient conditions for the existence of a robust H∞guaranteed cost decentralized controller is developed and proved.Then the output feedback H∞guaranteed cost robust decentralized control algorithm is established by using a variable substitution method.Furthermore, by introducing the constraint conditions, the H∞guaranteed cost robust controller design is transformed into a convex optimization problem with linear matrix inequality constraints.A 12-story building is selected as a numerical example to illustrate the control performances of the proposed decentralized algorithm.Numerical simulation results indicate that for the building structure with large uncertain parameters, the proposed output feedback H∞guaranteed cost robust decentralized control algorithm has better control effect than that of traditional LQG centralized control algorithm.
Key words:active control; robust decentralized control; H∞guaranteed cost control; output feedback; linear matrix inequality
中图分类号:TU352.1
文献标志码:A
doi:10.6052/j.issn.1000-4750.2017.01.0032
文章编号:1000-4750(2018)04-0160-08
收稿日期:2017-01-08;修改日期:2017-10-13
基金项目:135重大专项(2017YFC0703600);国家自然科学基金项目(97315301-07,51408142);教育部创新团队项目(IRT13057)
通讯作者:谭 平(1973―),男,湖南人,教授,博士,主要从事结构抗震、减隔震研究(E-mail: ptan@gzhu.edu.cn).
作者简介:潘兆东(1986―),男,陕西人,讲师,博士,主要从事工程结构减震控制研究(E-mail: pzd0101@126.com);
周福霖(1939―),男,广东人,教授,硕士,中国工程院院士,主要从事结构抗震与减震方面的研究(E-mail: zhoufl@cae.cn).