李灿军,周 臻,谢 钦
(东南大学混凝土及预应力混凝土结构教育部重点实验室,南京 210096)
摘 要:在梁柱节点中引入NAO(非石棉)摩擦耗能器和超弹性形状记忆合金(SMA)杆,形成摩擦耗能型SMA杆自复位梁柱节点(NAO-SMA-SC),可有效解决传统梁柱节点震后残余变形较大和耗能较低的问题。该文分析了其构造和工作机理,针对节点中SMA杆大应变需求,基于Lagoudas模型提出SMA杆的应变强化段改进本构模型,并将其嵌入到有限元软件OpenSees;建立了NAO-SMA-SC节点的杆系分析模型,考察了循环加载机制下SMA杆、NAO摩擦耗能器、间隙单元随节点转动时的受力行为;系统分析了耗能器摩擦力Ff、SMA杆直径D、SMA杆预应变P等关键参数对NAO-SMA-SC节点滞回性能的影响。结果表明:在节点中引入摩擦耗能器,能明显地提高节点抗弯能力和耗能能力,但同时会增大节点残余变形;随着SMA杆直径的增大,节点抗弯能力和自复位性能均显著提高;SMA杆预应变的施加能有效降低节点的残余变形。
关键词:梁柱节点;自复位;SMA杆;摩擦耗能器;滞回性能
传统的钢框架梁柱节点主要通过焊接形成刚性节点,而震后节点容易发生脆性破坏,且结构延性和耗能能力较差,残余变形较大,使得震后修复困难且成本较高。随着基于性能抗震设计理念的发展,通过控制结构的震后残余变形,提高结构可恢复性的功能需求逐渐被国内外学者所关注,并提出了一系列新型自复位抗震结构体系[1-5]。
目前,自复位抗震结构体系主要通过在梁柱节点中引入后张预应力技术或形状记忆合金材料,将梁、柱构件装配成整体,为结构提供可恢复功能。其中,后张预应力技术的发展相对更快,在自复位抗震结构体系中应用较广泛[1-4]。然而,相比传统的预应力筋和钢绞线,形状记忆合金(SMA)[5-6]具有优越的超弹性和一定的耗能能力,大直径的SMA杆已逐渐被应用于自复位梁柱节点。由于SMA材料性能受温度、加载条件、热处理方式等因素的影响,同时大直径SMA杆的加工难度和材料成本较高,自复位梁柱节点通常引入耗能装置,以实现节点的高耗能。Wang等[7]将大直径SMA杆和耗能角钢引入到梁柱节点,试验发现节点表现出良好的耗能能力和自复位功能。Speicher等[8]在节点中引入SMA杆,并采用铝杆耗能,试验发现节点残余变形小,但铝杆对结构耗能能力并无明显提高效果。
由于非石棉(NAO)摩擦材料具有轻质耐磨、耗能强且稳定的优点[9],非石棉摩擦片、槽钢、高强螺栓组成NAO摩擦耗能器具有稳定耗能的特点,可应用于自复位结构体系。本文提出一种摩擦耗能型SMA杆自复位梁柱节点(NAO-SMA-SC节点),通过梁柱节点间的相对转动带动SMA杆伸长,利用SMA杆较高的回复力实现节点的自复位,并在腹板处加入NAO摩擦耗能器以提升节点耗能能力。然后详细分析了节点构造和工作机理,提出了适用于SMA杆大应变加载的应变强化段改进本构模型,利用有限元软件OpenSees建立节点杆系分析模型,讨论了关键参数对节点滞回性能的影响。
图1给出了钢框架NAO-SMA-SC节点构造详图以及梁端剖面图。其中,NAO-SMA-SC节点由自复位梁柱节点和NAO摩擦耗能器两部分构成。自复位梁柱节点中,SMA杆位于梁翼缘内侧,穿过柱翼缘,通过L型支架和高强螺栓,实现与梁端的连接;而将槽钢与柱翼缘焊接,并与梁腹板通过高强螺栓连接。L型支架和梁翼缘加劲板共同为SMA杆提供锚固作用,同时也防止梁翼缘发生局部屈曲变形。由于节点的转动使柱翼缘局部承受较大挤压力,故在柱翼缘内侧布设加劲肋,以防止柱翼缘局部变形过大。NAO摩擦耗能器中槽钢与梁腹板通过高强螺栓连接,梁腹板处开设长条形槽口,以适应节点转动过程中的螺栓滑移。SMA杆和L型支架被布置于梁翼缘内侧,既避免了梁柱节点处楼板布置不便的困难,也加强了震后节点构件的更换性。

图1 NAO-SMA-SC节点构造图和梁端剖面图
Fig.1 Configuration diagram of NAO-SMA-SC connections and cross section of beam end
图2给出了NAO-SMA-SC节点转动图以及右梁端受力图。当柱端向右发生侧移时,左、右梁分别绕左梁下翼缘和右梁上翼缘转动,而梁柱间的相对转动带动SMA杆受拉伸长,其形成的力偶承受大部分梁端弯矩,并提供节点较高的回复力,以实现梁柱节点的自复位性能;同时,摩擦耗能器中高强螺栓发生滑移,使得节点发生腹板摩擦耗能。由于SMA材料本身具有一定的耗能能力,所以节点耗能由NAO摩擦耗能器和SMA杆共同提供。在右梁端受力示意图中,N为梁与柱翼缘之间的挤压力,T1、T2分别为梁翼缘内侧上、下 SMA杆所产生的拉力,Ff为摩擦耗能器提供的摩擦力,M、V分别为截面弯矩和剪力。当柱端向左侧移时,节点转动情况和受力情况类似。

图2 NAO-SMA-SC节点转动图和右梁端受力图
Fig.2 Rotation diagram of NAO-SMA-SC connections and free-body diagram of right beam end
图3给出了NAO-SMA-SC节点的理论滞回曲线,该曲线由自复位梁柱节点的旗帜型滞回曲线和摩擦耗能器的双线型弹塑性滞回曲线组合而成,具有自复位和高耗能的特点。其中,01段表示摩擦耗能器启动阶段,当节点弯矩达到克服摩擦力所需弯矩Mf时,节点张开;12段和23段分别表示SMA杆弹性加载段和马氏体相变阶段;点3处节点开始卸载,节点转动方向发生改变,于是摩擦力方向发生改变,且节点弯矩减小 2Mf。由于 SMA杆无法克服摩擦力,在点7处SMA杆和摩擦耗能器保持受力状态;当柱继续发生侧移,且达到相应反向位置点8处,节点开始反向加载,故78段节点弯矩为0。节点强度主要由SMA杆和NAO摩擦耗能器提供,节点弯矩M计算如式(1):
SMA杆提供的弯矩MSMA计算如式(2):
式中:T1、d1分别为梁受拉翼缘侧 SMA杆的轴力和其到转动中心的距离;T2、d2分别为梁受压翼缘侧SMA杆的轴力和其到转动中心的距离。
摩擦耗能器提供的弯矩Mf计算如式(3)、式(4):


图3 NAO-SMA-SC节点的理论滞回曲线
Fig.3 Theoretic hysteretic curves of NAO-SMA-SC connections
式中:Ff为摩擦耗能器的滑动摩擦力;R为螺栓中心到转动中心的距离;μ为滑动摩擦系数;P为螺栓预拉力;nf为螺栓数目。
Lagoudas等[10]提出的一维 SMA 唯象本构模型,其形式相对简单,广泛应用于工程实际领域,但该模型未考虑应变强化段加卸载路径的差异性。本节基于Lagoudas模型,提出了SMA杆的应变强化段改进模型,并通过试验结果和模拟结果对比,验证了该改进模型的有效性。
图4给出了SMA发生完全相变时Lagoudas模型的示意图。其中,EA、EM分别表示SMA奥氏体相弹性模量和马氏体相弹性模量,εL表示最大相变可回复应变,σMs、σMf、σAs、σAf为相变临界应力,对应的相变临界应变分别以εMs、εMf、εAs、εAf表示,相变临界应力的计算可参考文献[11]。

图4 Lagoudas模型示意图
Fig.4 Schematic diagram of Lagoudas model
oa段、eo段分别表示奥氏体SMA弹性加载和卸载段,刚度和应力分别以K1和σ表示:

ab段表示马氏体相变段,刚度和应力分别以K2和σ表示:

bc-cd段表示马氏体弹性加卸载段,即应变强化段,刚度和应力分别以K3和σ表示:

de段表示奥氏体相变段,刚度和应力分别以K4和σ表示:
基于文献[11]试验数据,图 5给出了模拟结果和试验结果对比关系曲线。由图5知,应变强化段的模拟结果与试验结果相差较大,Lagoudas模型无法描述SMA杆应变强化段的真实应力-应变关系。

图5 Lagoudas模型和试验结果对比图
Fig.5 Comparison of experimental and Lagoudas simulated results
基于Lagoudas模型,考虑应变强化段加卸载路径的差异性,本节提出SMA杆的应变强化段改进模型。图6给出了改进模型的示意图。
其中,RS、εA′s分别表示应变强化段加载刚度和卸载点应变。bc-cd段为应变强化段,其刚度分别以KSHL和KSHUL表示,而其他段刚度计算准则和参数意义同Lagoudas模型。
bc段表示应变强化加载段,刚度和应力为:

cd段表示应变强化卸载段,刚度和应力为:


图6 应变强化段改进模型示意图
Fig.6 Stress-Strain relations of proposed SMA model
由于地震动的随机性,SMA本构模型应适用复杂受力情况,图7给出了复杂加卸载下模型示意图。

图7 复杂加卸载下改进模型示意图
Fig.7 Proposed SMA model under complicate loading
图7中Em表示SMA混合相弹性模量,其值与相变完全度X有关[10];e点、b点、c点、d点、h点应变分别以εM′s、εmax、εA′s、εmin、εA′′s表示。
对于卸载情况,即图中的bc段,X表达式如下:
对于加载情况,即图中的de段,X表达式如下:
根据混合相柔度的概念[11],SMA混合相弹性模量Em表达式如下:
利用有限元软件 OpenSees提供的二次开发平台,用C++编写SMA杆的应变强化段改进模型,并将其添加到 OpenSees的材料库。基于文献[11]中的试验数据,在OpenSees中模拟SMA杆承受轴向荷载时的力学行为,最后将模拟结果与试验结果进行对比分析,从而验证SMA杆的应变强化段改进模型的有效性。
文献[11]对 SMA材料分别进行了单向拟静力常幅加载试验,其中加载机制为应变幅值7%循环1圈;试验阶段均视为恒温过程,且温度T=30℃。有限元模型参数取值如表1所示。表中弹性模量和最大可回复应变值均从试验曲线中取得,而相变温度和相变常数是通过对不同温度下SMA进行单向拉伸试验回归分析所得到的。
表1 常幅加载试验材料参数
Table 1 Material parameters of constant amplitude experiments

图8给出了SMA杆承受轴向常幅荷载的应力-应变(σ-ε)关系的对比。从对比图可知,数值模拟结果和试验结果基本吻合,尤其体现在马氏体相变阶段和应变强化段。

图8 常幅试验结果和模拟结果对比图
Fig.8 Comparison of experimental and simulated results
整体来说,SMA杆的应变强化段改进模型很好地描述了SMA材料的超弹性,真实地体现了应变强化段的加卸载差异。由于SMA杆的应变强化段改进模型,以线性形式描述SMA材料的相变过程,在有限元分析时不需要进行迭代运算,因而模型计算效率高,省时且收敛性好。
为了模拟NAO-SMA-SC节点的滞回性能,利用有限元软件OpenSees建立NAO-SMA-SC节点杆系分析模型。图9给出了NAO-SMA-SC节点的建模方案。其中,数字 1~13表示模型的节点。节点12和13分别表示框架柱相邻楼层的反弯点。

图9 NAO-SMA-SC节点的OpenSees简化模型
Fig.9 OpenSees simplified model of NAO-SMA-SC connections
单元5-13、8-12表示钢框架柱,单元2-10、3-11表示钢框架梁,梁柱构件采用均布塑性的纤维型非线性梁柱单元模拟。为考虑梁端平截面假定,采用两对平行的刚体弹性梁单元3-6、3-9、2-4、2-7来模拟梁端截面;用一对刚体弹性梁单元1-5、1-8模拟节点域柱截面。非线性梁柱单元和刚体弹性梁单元的本构模型均为Steel02材料模型。
采用两对平行的桁架单元 4-5、7-8、5-6、8-9模拟节点间隙的张开或闭合,并赋予(ENT)材料模型。用一对桁架单元1-2、1-3表示摩擦耗能器,以等效水平力来近似模拟摩擦耗能器的摩擦力,材料选用Steel01模型。将节点2、3和节点1的竖向自由度进行耦合来模拟梁柱之间高强的抗剪性能,即认为梁柱接触面之间的摩擦力足够承受剪力。
在刚体弹性梁之间设置与间隙单元平行的桁架单元4-6、7-9来模拟超弹性SMA杆。当节点发生转动时,间隙单元的张开、闭合带动SMA杆伸长,伸长量为ΔL,而左右转动中心竖向距离为H,因此节点相对转角θr为ΔL/H。
采用图9所示的节点有限元模型,基准模型尺寸基于文献[8]试验设计,框架梁长2740 mm,框架柱高1780 mm;SMA杆平行段长度为300 mm,直径为12.7 mm。在腹板与槽钢之间设有非石棉摩擦片,摩擦系数取为0.33[9],摩擦力取为80 kN,节点记为NAO80-SMA12.7-SC。
在柱端节点 13处进行水平往复加载,每个位移幅值循环 1 圈。幅值依次为Δy、2Δy、3Δy、4Δy、5Δy,其中,Δy为层间位移角(即顶点位移值与柱高之比)1%时所对应的顶点位移。图10给出基准模型的节点梁端弯矩M-转角θr关系曲线。图10中梁端弯矩为右梁左端弯矩,节点转角对应节点1转动位移;弯矩、转角方向,以及节点转动过程中的关键点,如图10所示。

图10 基准模型梁端弯矩-转角关系
Fig.10M-θrrelations of the basic model
由图10可知,由于SMA杆提供的回复力,节点产生较小的残余位移,基本能满足节点自复位性能要求。同时,节点滞回曲线饱满,表现出优越的耗能能力。当节点转角约为4.5%时,SMA杆进入应变强化段,节点抗弯刚度增加,从而节点弯矩-转角关系曲线也出现明显的应变强化段。图 11给出了基准模型各构件单元力和节点转角的关系,同时给出了杆件单元力和单元变形的关系。

图11 基准模型构件单元力-节点转角关系
Fig.11F-θrrelations of the basic model member
由图11(a)可知,SMA杆在节点转动过程中始终处于受拉状态,符合本文提出的节点构造要求。节点转动前期为摩擦耗能器启动阶段,而SMA杆未启动;而节点转动方向改变时,摩擦力方向随之改变,而SMA杆保持受力状态。由于摩擦耗能器的作用,SMA杆始终不能卸载到初始不受力状态,图中较低应力平台对应为柱“空转”段。图 11(c)中上、下Gap为基准模型中右梁左端截面上下间隙,由于节点转动过程中,上、下间隙分别处于拉压状态,而受拉侧间隙不参与工作。由图11(c)可知,当间隙单元受压时,单元力较大,而当间隙单元受拉时,单元不受力,符合本文设计的梁柱节点间隙的张开或闭合原理,即仅受压接触时传递反力,受拉时仅起连接作用而不传递拉力。
对于NAO-SMA-SC节点而言,摩擦耗能器提供的摩擦力、SMA杆直径、SMA杆预应变是影响其耗能能力和自复位性能的关键参数;基于基准节点模型,本节研究了摩擦耗能器提供的摩擦力Ff、SMA杆直径D、SMA杆预应变P对NAO-SMA-SC节点滞回性能的影响。
分别取摩擦力Ff为0 kN、40 kN、100 kN,以考察摩擦力大小对节点滞回性能的影响。图 12和图13分别给出了相应节点的梁端弯矩M和等效粘滞阻尼比ζeq同节点转角θr的关系。
由图 12可知,随着摩擦力的增大,节点滞回曲线更为饱满,表明节点滞回耗能能力增强;且残余位移增大(依次为0% rad、0.14% rad、0.36% rad),表明节点自复位性能降低,其原因在于节点在卸载过程中需要克服较大摩擦力,SMA杆提前完成逆相变,柱提前进入“空转”阶段,故可见较大的残余变形;同时,节点梁端弯矩在增大(当节点转角达到0.05 rad,依次为63.5 kN·m、70.5 kN·m、81.0 kN·m),表明节点强度提高,节点抗弯能力随之增强。
由图13可知,摩擦耗能器提供的摩擦力越大,节点等效黏滞阻尼比值越大;当节点转角约为4%时,等效黏滞阻尼比达到峰值。

图12 不同摩擦力下节点梁端弯矩同节点转角的关系
Fig.12M-θrrelations of connections with differentFf
分别取SMA杆直径D为10.2 mm、15.2 mm,以考察SMA杆直径大小对节点滞回性能的影响。图14给出了相应节点的梁端弯矩M和等效粘滞阻尼比ζeq同节点转角θr的关系。
由图14(a)、图10和图14(b)可知,随着SMA杆直径的增大,节点梁端弯矩增大(当节点转角达到0.05 rad,依次为57.8 kN·m、77.5 kN·m、98.8 kN·m),表明节点强度明显地提高,节点抗弯能力也随之增强。同时,节点残余位移减小(依次为0.44%rad,0.29%rad,0.27%rad),表明节点自复位性能提高。其原因是相同节点转角下,大直径SMA杆能提供节点较大的回复力,从而降低节点残余位移。

图13 不同摩擦力下节点等效粘滞阻尼比同节点转角关系
Fig.13ζeq-θrrelations of connections with differentFf
由图14(c)可知,随着SMA杆直径的增加,节点的等效黏滞阻尼比值降低。这主要是由于大直径SMA节点能承受较大弯矩,节点应变能较高,而节点总滞回耗能变化幅度不大,由等效黏滞阻尼比公式可知,节点等效黏滞阻尼比值降低。
对 SMA杆施加初始预应变P,其值分别为0.25%、0.50%,以考察SMA杆预应变对节点滞回性能的影响。图15给出了相应节点梁端弯矩M和等效粘滞阻尼比ζeq同节点转角θr的关系。
由图10和图15可知,随着SMA杆初始预应变的增大,节点梁端弯矩变化不大(当节点转角达到0.05 rad,依次为77.5 kN·m、79.3 kN·m、81.0 kN·m)。但节点残余位移随 SMA杆预应变值的增大而减小(依次为0.29%rad、0.10%rad、0.06%rad),表明对 SMA杆施加初始预应变,能提高节点的自复位性能。
由图15(c)可知,随着SMA杆预应变值的增加,节点的等效粘滞阻尼比值小幅度地增加。在相同摩擦力和转动位移条件下,节点耗能主要受SMA杆影响。SMA杆预应变值越大,其对节点耗能的贡献更大,从而使得节点等效粘滞阻尼比增大。
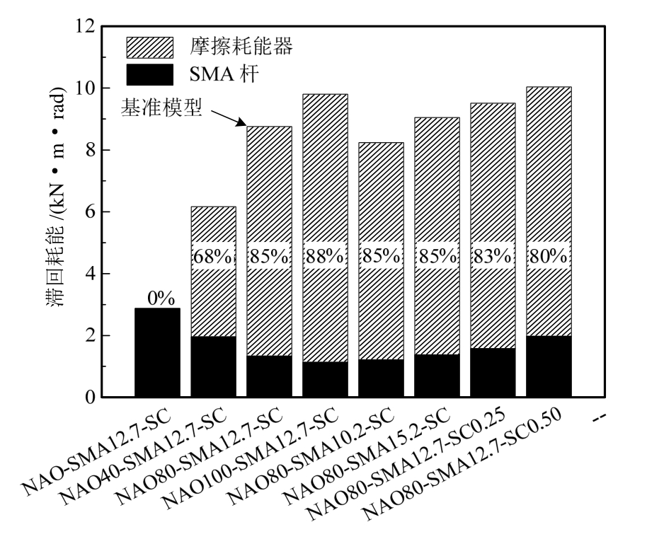
分别计算各节点在循环加载后的滞回耗能和残余位移,以综合比较节点的耗能能力和自复位性能。图16给出了各节点的SMA杆和摩擦耗能器滞回耗能柱形堆积图。其中,柱内数字表示摩擦耗能器耗能与节点总耗能的比值。图 17给出了各节点残余位移条形分布图。

图14 不同SMA直径下节点梁端弯矩和等效粘滞阻尼比同节点转角的关系
Fig.14M-θrandζeq-θrrelations of connections with differentD
由图 16可知,摩擦耗能器的引入明显地提高了节点耗能能力,且降低了SMA杆对节点耗能的贡献,而SMA杆直径的变化并未明显改变节点的耗能,因此图16反映了SMA杆和摩擦耗能器对节点耗能的贡献。由图17可知,SMA直径的增大能明显改善节点的自复位性能,而摩擦耗能器对其具有抑制作用。从节点耗能方面考虑,摩擦耗能器能明显改善节点的抗震性能;然而节点耗能能力的提高,是以增大节点残余变形为代价。因此,应合理设计摩擦耗能器和SMA杆,以获得综合性能优越且稳定的摩擦耗能型自复位梁柱节点。

图15 不同SMA预应变下节点梁端弯矩和等效黏滞阻尼比同节点转角的关系
Fig.15M-θrandζeq-θrrelations of connections with differentPof SMA

图16 SMA杆和摩擦耗能器滞回耗能
Fig.16 Energy dissipation of SMA bars and dissipator

图17 节点残余位移
Fig.17 Residual drift of connections
本文提出了一种摩擦耗能型SMA杆自复位梁柱节点(NAO-SMA-SC),建立OpenSees节点简化模型,并验证了模型的有效性,进一步对节点的滞回性能进行了参数化分析,得到以下结论:
(1) NAO-SMA-SC节点充分利用了SMA杆的超弹性和NAO摩擦耗能器耗能稳定的特点,同时节点构造克服了梁柱节点处楼板布置不便的困难,也加强了震后构件的可更换性。
(2) 分析模型准确地描述了节点转动时各构件的力学行为;节点表现出优越的耗能能力和自复位性能。
(3) 在节点中引入摩擦耗能器能明显提高节点抗弯能力和耗能能力,但会增大节点残余变形;增大SMA杆直径能增强节点抗弯能力和自复位性能;对SMA杆施加预应变能有效降低节点的残余变形。
参考文献:
[1]蔡小宁, 孟少平.预应力自复位混凝土框架节点抗震性能数值模拟[J].工程力学, 2016, 33(3): 143―151.Cai Xiaoning, Meng Shaoping.Numerical analysis for seismic behavior of self-centering post-tensioned precast beam-to-column connections [J].Engineering Mechanics, 2016, 33(3): 143―151.(in Chinese)
[2]朱冬平, 周臻, 孔祥羽, 等.往复荷载下带竖向阻尼器自复位墙滞回性能分析[J].工程力学, 2017, 34(3):115―123.Zhu Dongping, Zhou Zhen, Kong Xiangyu, et al.Hysteretic performance analysis of self-centering walls with vertical dampers under cyclic loads [J].Engineering Mechanics, 2017, 34(3): 115―123.(in Chinese)
[3]Xie Q, Zhou Z, Li C, et al.Parametric analysis and direct displacement-based design method of self-centering energy-dissipative steel-braced frames [J].International Journal of Structural Stability & Dynamics, 2016.
[4]郭彤, 宋良龙, 张国栋, 等.腹板摩擦式自定心预应力混凝土框架梁柱节点的试验研究[J].土木工程学报,2012(7): 23―32.Guo Tong, Song Lianglong, Zhang Guodong, et al.Experimental study on beam-column connections of self-centering prestressed concrete frame with web friction devices [J].China Civil Engineering Journal,2012(7): 23―32.(in Chinese)
[5]Yang C S W, Desroches R, Leon R T.Design and analysis of braced frames with shape memory alloy and energy-absorbing hybrid devices [J].Engineering Structures, 2010, 32(2): 498―507.
[6]Desroches R, Asce M, Mccormick J, et al.Cyclic properties of superelastic shape memory alloy wires and bars [J].Journal of Structural Engineering, 2004, 130(1):38―46.
[7]Wang W, Fang C, Liu J.Large size superelastic SMA bars: heat treatment strategy, mechanical property and seismic application [J].Smart Materials & Structures,2016, 25(7): 075001―075017.
[8]Speicher M S, Desroches R, Leon R T.Experimental results of a NiTi shape memory alloy (SMA)-based recentering beam-column connection [J].Engineering Structures, 2011, 33(9): 2448―2457.
[9]黄小刚, 周臻, 蔡小宁, 等.基于 NAO 材料的摩擦耗能器低周反复试验[J].东南大学学报自然科学版,2016, 46(5): 1076―1081.Huang Xiaogang, Zhou Zhen, Cai Xiaoning, et al.Static cyclic tests of frictional energy dissipating device based on non-asbestos organic material [J].Journal of Southeast University, 2016, 46(5): 1076―1081.(in Chinese)
[10]Lagoudas D C, Mayes J J, Khan M M.Simplified shape memory alloy (SMA) material model for vibration isolation [C]// International Symposium on Smart Structures and Materials.International Society for Optics and Photonics, 2001: 452―461.
[11]Dolce M, Cardone D.Mechanical behaviour of shape memory alloys for seismic applications 2.Austenite NiTi wires subjected to tension [J].International Journal of Mechanical Sciences, 2001, 43(11): 2657―267.
HYSTERETIC PERFORMANCE ANALYSIS OF SELF-CENTERING BEAM-COLUMN CONNECTIONS WITH SMA BARS AND FRICTION ENERGY DISSIPATOR
LI Can-jun , ZHOU Zhen , XIE Qin
(Key Laboratory of Concrete and Prestressed Concrete Structures of the Ministry of Education, Southeast University, Nanjing 210096, China)
Abstract:By introducing NAO (non-asbestos organic material) friction energy dissipator and superelastic SMA(Shape Memory Alloy) bars into beam-column connections, a self-centering connection with friction devices(NAO-SMA-SC) was proposed, effectively dealing with both the large residual drift and the lower energy dissipation of traditional connections after earthquake.In this paper, the details and working mechanism were analyzed.Due to the large strain demand of SMA bars, based on the Lagoudas model, a strain-hardening modified model of SMA bars was presented.Adding the proposed model to the finite element software OpenSees, the analysis model of NAO-SMA-SC connections was developed to study the mechanical behavior of SMA bars,NAO friction devices and gap element during the rotation of connections under the cyclic loading condition.The influences of several key parameters, including the friction forceFf, the diameterDand initial strainPof SMA bars, on the hysteretic performance of NAO-SMA-SC connections were analyzed systematically.The results show that the friction device could significantly improve the resisting moment and energy dissipation ability of connections, meanwhile increase the residual drift.The enlargement of SMA diameter could promote the moment and self-centering effect of connections.Pre-stressing the SMA bars could effectively reduce the residual drift of connections.
Key words:beam-column connections; self-centering; SMA bar; friction energy dissipator; hysteretic behavior
中图分类号:TU352.1
文献标志码:A
doi:10.6052/j.issn.1000-4750.2016.12.1012
文章编号:1000-4750(2018)04-0115-09
收稿日期:2016-12-28;修改日期:2017-06-04
基金项目:国家自然科学基金项目(51208095);江苏省青蓝工程项目;江苏省六大人才高峰项目(JZ-003)
通讯作者:周 臻(1981—),男,江西人,教授,博士,博导,主要从事结构工程研究(E-mail: seuhj@163.com).
作者简介:李灿军(1991—),男,湖南人,硕士生,主要从事结构工程研究(E-mail: canjunli@sina.com);
谢 钦(1988—),男,贵州人,博士生,主要从事结构工程研究(E-mail: xieqinqqq@sina.com).