黄 维1,2,钱 江3,周 知3
(1.武汉理工大学新材料力学理论与应用湖北省重点实验室,湖北,武汉 430070;2.武汉理工大学工程结构与力学系,湖北,武汉 430070;3.同济大学土木工程防灾国家重点实验室,上海 200092)
摘 要:竖向混合结构转换柱型钢在柱中截断,导致转换柱内力传递畸变。该文利用 ABAQUS有限元软件,建立了考虑混凝土不同约束效应的转换柱精细有限元模型,通过模拟结果与试验结果对比,验证了该方法的正确性。根据转换柱的受力和变形特性,研究了转换柱的反弯点位置变化情况。随后根据转换柱不同破坏模式下构件受力特点,研究了转换柱的受剪承载力公式,并与参考文献中的试验结果进行了对比分析。最后对现有规范中转换柱抗剪能力公式的安全性和合理性进行了研究,并采用精细有限元模型对修正公式进行了验证,结果表明:现有规范计算的抗剪承载力偏于不安全,需要根据转换柱的受力及变形特性进行合理的修正。
关键词:竖向混合结构;SRC-RC转换柱;传力畸变;反弯点;抗剪承载力
竖向混合结构由上、下两种不同材料结构体系竖向串联组成,其沿竖向变化的抗侧刚度能较好的适应结构的受力及变形需求[1]。由于上、下结构材料属性差异较大,为了实现竖向混合结构竖向承载力和刚度的合理过渡,需要设置转换构件。转换柱往往将SRC柱或S柱的型钢向上或向下延伸而形成具有承上启下功能的特殊转换构件。根据型钢延伸的情况,可以分为整体过渡形式和中间过渡形式。整层过渡将型钢的截断位置选择在梁柱节点,这与《型钢混凝土组合结构技术规程》(JGJ 138-2001)[2]的相关要求相符。但这种过渡方式使得过渡层刚度较大,无法形成整体结构竖向刚度的连续过渡,并且造成薄弱层向上或向下移动,增加了建设成本,如图1(a)所示。为了减小强度和刚度突变,避免出现未知形式的薄弱层,可以将型钢向上或向下延伸一段高度,形成中间过渡形式的特殊转换构件,即SRC-RC转换柱,如图1(b)所示。

图1 竖向混合结构过渡层方式
Fig.1 Transition story of vertically hybrid structure
中间过渡形式转换柱已经开始应用于国内外竖向混合结构中[1],但相关试验研究与理论分析尚处于初级阶段。日本学者对转换柱进行了初探试验研究,Suzuki等[3]进行了包括3个转换柱试件和1个RC柱对比试件的低周往复加载试验,研究了型钢延伸高度对转换柱受力性能的影响。今野修等[4]进行了 13个转换试件的低周往复加载试验研究,主要考察转换柱在地震荷载作用下的抗震性能。木村润一等[5]进行了7个SRC-RC转换柱低周往复加载试验研究,着重考察了转换柱中型钢的加强钢筋和柱中型钢延伸高度对柱抗震性能和受力机理的影响。国内关于SRC-RC转换柱的性能研究开展较少,薛建阳等[1]进行了21个SRC-RC转换柱的低周往复荷载试验,试验结果表明其主要的破坏形式为剪切破坏,而弯曲破坏和粘结破坏主要集中在型钢延伸长度较大的试件中。伍凯等[6]进行了 16个SRC-RC转换柱试验的低周反复荷载试验,研究了不同构造措施对转换柱的抗剪性能影响。
《型钢混凝土组合结构技术规程》(JGJ 138-2001)仅定性的提出了一些构造方法,尚未给出SRC-RC转换构件的计算方法,例如转换构件的正截面受弯及斜截面受剪承载力的计算公式。而日本规范仅从构件极限抗弯承载力推导了转换柱的抗剪承载力公式[7],并不能完全反映SRC-RC转换柱所有的破坏模式,以至于工程技术人员在设计中无法对这类构件做出适当的评估。转换柱的受力性能是决定竖向混合结构的抗震安全的主要因素,虽然国内外学者对转换柱进行了相关试验研究,但由于数量有限,且试验条件限制,试验未能较系统性的对转换柱的抗震性能进行深入研究,且较少涉及转换柱的破坏机理。为了较全面的研究SRC-RC转换柱的性能,本文采用考虑不同约束效应的混凝土本构方程,在 ABAQUS软件中建立适用于 SRC-RC转换柱的数值分析方法,对转换柱的受力情况及变形特点进行分析,研究现有规范中转换柱抗剪能力计算的安全合理性。
SRC-RC转换柱可以分成型钢混凝土部分和钢筋混凝土部分。型钢混凝土部分由型钢、混凝土、纵筋和箍筋四部分组成。型钢和箍筋对混凝土的约束作用,可以将混凝土截面分成无约束混凝土、部分约束混凝土和强约束混凝土,如图2(a)所示。其中无约束混凝土为箍筋约束作用力外侧的面积,强约束混凝土部分为型钢作用约束的部分,其他部分即为部分约束混凝土。为了简化建模,可将强约束混凝土部分取为工字型钢翼板中间所围成的部分,无约束混凝土为箍筋中轴线外侧的面积,计算简图如图2(b)所示。

图2 型钢混凝土柱混凝土约束分布图
Fig.2 Confinement zones in steel reinforced concrete column
本文采用通用有限元软件 ABAQUS对转换柱进行分析。其混凝土采用实体单元 C3D8R模拟,采用不同约束效应的混凝土损伤塑性模型定义本构关系。型钢采用实体单元 C3D8R模拟,采用理想弹塑性模型定义本构;采用界面单元模拟型钢与混凝土单元的相互作用,在 ABAQUS软件中采用*CONTACT PAIR实现,其摩擦系数根据Ellobody等[8]的研究取为0.25。钢筋采用桁架单元 T3D2单元模拟,并嵌入在混凝土单元内,采用理想弹塑性模型定义本构。在考虑不同约束效应混凝土时,SRC-RC转换柱建模方法如图3所示。

图3 SRC-RC柱建模方法
Fig.3 Modeling of SRC-RC column
单调荷载下混凝土受压应力-应变关系采用Collins等[9]修正的Popovics模型,如图4所示,其计算公式如下:

式中:σc为混凝土压应力;fc为混凝土抗压强度;εc为混凝土压应变;ε0为对应fc的混凝土压应变;λ是一个常数,近似的表征混凝土的脆性。

图4 混凝土受压应力-应变曲线
Fig.4 Compression stress-strain model of concrete
弹性模量E0按美国ACI规范[10]计算取值:
1) 无约束混凝土。
取fc=fc0,ε0=εc0。
其中:fc0为试验测得棱柱体混凝土强度值;εc0为对应无约束混凝土抗压强度fc0的峰值压应变(本文取为0.002)。
2) 部分约束混凝土。
由于受到箍筋对混凝土的侧向约束,Mander等[11]通过主动静液压力原理,得到了约束混凝土的抗压强度fcc′及对应的峰值压应变εcc的计算公式。在此基础上,Denavit等[12]采用回归的方式得到了不同截面形式下约束混凝土抗压强度及对应峰值压应变的统一公式,如下:

式中:fc0为对应无约束混凝土抗压强度;εc0为fc0对应的峰值压应变;K为箍筋对混凝土的有效约束影响系数,按文献[12]方法计算。
3) 强约束混凝土。
由于强约束混凝土受到箍筋和型钢的共同作用,其箍筋对混凝土的有效约束应力可由上述公式计算得到,而型钢对其提供的附加有效约束应力主要由翼缘提供,根据黄维等[13]的研究,其型钢对混凝土提供的附加有效约束应力可由下式计算得到:

型钢对混凝土的附加有效约束应力:

式中:
为型钢对强约束混凝土的横向约束应力;fys为型钢翼缘的屈服强度;L为翼缘长度;H为腹板长度;h为腹板厚度;t为翼缘厚度。
由式(8)计算得到型钢对混凝土的附加约束应力,根据方向与箍筋提供的约束应力进行叠加,然后按照上述计算部分约束混凝土本构的步骤,可以计算得到强约束混凝土的抗压强度
及对应的峰值压应变εcc,进而得到其本构方程。
Paulay等[14]根据轴压试验结果提出了约束混凝土的极限压应变计算公式:
式中:εsm为最大拉应力时的钢筋应变,其值一般取为0.012~0.05;ρs为核心混凝土区域体积配箍率。
混凝土受拉骨架曲线中峰值应变前的应力-应变关系假设为线弹性,弹性模量和受压初始切线模量E0相同,混凝土受拉应力-应变关系如图5所示。

图5 混凝土受拉应力-应变关系
图5 Tensile stress-strain curve of concrete
混凝土受拉软化段的应力-应变关系一般采用直线形式,软化模量与混凝土断裂能Gf以及混凝土单元特征尺寸lc有关。断裂能Gf由CEB规范[15]的建议公式计算:
式中:fc 单位为MPa;Gf单位为N/mm;系数α与混凝土最大骨料直径Dmax有关,CEB规范[15]建议:Dmax=8 mm时,α=0.025;Dmax =16 mm时,α=0.03;Dmax=32 mm时,α=0.058。
本文对文献[1, 3, 6]中的9根转换柱采用上述方法进行数值模拟分析,研究转换柱的非线性力学性能。各构件材料参数见表1。参考文献[1]中的试验加载装置如图6所示。

图6 试验加载装置示意图[1]Fig.6 Test set-up of reference[1]
1.反力钢架; 2.双向水平力加载装置; 3.竖向反力钢柱; 4.反力大钢梁;5.油压千斤顶; 6.分配梁; 7.试件; 8.基础刚性大钢梁; 9.高强螺杆;10.方钢压梁; 11.方形钢箱; 12.平动Γ形钢梁; 13.平行四联杆
表1 构件尺寸及试验参数
Table 1 Specimen dimensions and test parameters

模拟计算的荷载-位移曲线与试验结果对比见图7,对应的荷载特征值及延性系数对比如表2所示,其中采用能量等效法确定屈服点,其极限侧移以P-Δ骨架曲线上承载力下降至0.85倍的抗剪承载力对应的变形作为构件的极限侧移。结果表明,采用上述方法建立的转换柱构件有限元模型模拟的结果与试验结果吻合较好,能较好的体现构件的捏拢效应和构件在往复荷载作用下的损伤效应,其构件达到峰值荷载后的下降情况也能较好的体现。但采用连续梁式加载的试件,由于其加载制度采用单次加载,其构件的受力特性还未达到稳定就进行下一步的加载,其试验和模拟结果在曲线下降段有较明显的差异,但整体变化趋势相近。


图7 试验结果与有限元模拟结果对比图
Fig.7 Comparison between test and finite element results
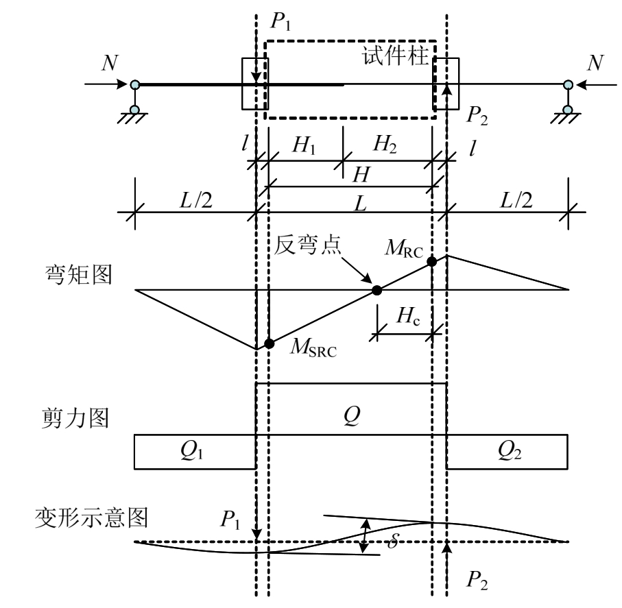
连续梁式构件试验和建研式构件试验能较真实的反映柱端受力情况,但连续梁式构件试验能明确试验柱端部的受力大小,因此本文采用连续梁式构件柱试验进行转换柱的受力分析。图8为连续梁构件弯矩、剪力及变形示意图。
根据转换柱的变形规律和二阶效应规律,可以由结构力学理论确定柱端受力:
表2 试验结果与有限元模拟结果对比
Table 2 Comparison between test and finite element results


式中:R=δ/H为层间变形角;δ为转换柱两端的相对位移。
由式(12)和式(13)可知,由于型钢柱局部存在,SRC柱端型钢和混凝土之间由于弯曲变形不协调,在轴向力的作用下,柱底部和顶部截面弯矩发生变化,改变了反弯点的位置。其反弯点距混凝土柱端的距离Hc与柱长H的比可由下式计算得到:
根据上述公式,代入文献[3]中的试验相关数据,计算得到Hc/H值如表3。
由式(15)可以看出,转换柱由于型钢的局部存在,转换柱刚度沿柱高有突变,柱两端截面弯矩分配发生变化,导致其反弯点向钢筋混凝土部分移动,随着型钢延伸长度的增加,反弯点大致位于距离混凝土部分0.4倍柱高位置。

图8 连续梁式试验转换柱的受力及变形
Fig.8 The force and deformation of transition column in continuous beam test
表3 试件反弯点位置
Table 3 Inflection point location of the test specimen

由第3节分析可知,转换柱由于型钢的局部存在,构件刚度变化,导致其反弯点向混凝土部分移动,大致位于距钢筋混凝土部分端部0.4倍柱高的位置,易产生“短柱型”的剪切破坏。型钢与混凝土之间的共同工作需要依靠两者间在柱身范围内的相互挤压实现,通过挤压,混凝土部分将部分剪力和轴力传递给型钢。型钢与混凝土之间的内力传递是两者达到共同工作的基础,也是导致转换柱内力传递畸变的诱因。图9为转换柱因型钢的局部存在,在复合受力下构件的理想破坏面,图 10为转换柱钢筋混凝土部分的应力分布情况。根据图9和图 10,柱轴线与主拉应力迹线的夹角θ(θ≤45o)可由式(15)和式(16)确定。文献[16]给出了θ的下限值cotθ=2,θ最小值为26.6o。

图9 转换柱理想破坏面
Fig.9 The ideal failure surface of transition column

图10 混凝土破坏面时的受力情况
Fig.10 The stress of failure surface

式中:σ0=N/(bh);b、h为截面宽度和高度;fc为混凝土抗压强度;ft为混凝土抗拉强度;hs为纵筋间距。
采用修正的摩尔-库伦破坏准则时[17],如图 11所示,图中三段黑折线为破坏准则线。混凝土在剪应力和法向应力共同作用下,当摩尔应力圆与斜段直线相切时则为剪切滑移破坏;当摩尔应力圆与竖向直线相切时则为主拉断裂破坏。

图11 摩尔-库伦破坏准则及应力圆
Fig.11 Mohr-Coulomb failure criterion
根据摩尔应力圆中的几何关系,横截面上最大剪切应力:

混凝土剪切滑移时受剪承载力Vc可由下式确定:
式中,κ=1.2。
箍筋受剪承载力Vs按规范计算,考虑到此类构件的特殊破坏方式,箍筋的作用不仅提供抗剪承载力,对混凝土裂缝发展还起到约束作用,防止发生剪切破坏,偏于安全采用下式,即:
式中:Asv为箍筋截面面积;fy为钢筋屈服强度;s为箍筋间距。
考虑箍筋和混凝土抗剪能力的转换柱受剪承载力计算值可按下式计算:
当剪跨比较大时,转换柱的弯曲作用明显,此时型钢的抗弯作用得到发挥,可以有效延缓型钢柱底的受弯屈服,提高转换柱的抗剪承载力。转换柱弯曲破坏时的抗剪承载力由柱的两端抗弯能力决定,钢筋混凝土端和型钢混凝土端的极限抗弯承载力根据日本规范[7]可由式(21)和式(22)计算得到,转换柱的弯曲破坏时的抗剪承载力可通过式(23)计算。

式中:As为受拉纵筋截面面积;fy为钢筋的屈服强度;h为截面高度;hs为纵筋间距;Ws为型钢截面弹性抵抗矩;fys为型钢的屈服强度。
式(20)和式(23)分别为转换柱在不同破坏特性下的受剪承载力公式,转换柱的抗剪承载力可由下式计算:
采用式(24),对文献[1]和文献[3]中的试验结果进行对比,如表4所示。根据式(24)计算得到的转换柱抗剪承载力结果与试验结果吻合较好,部分构件的计算结果偏于安全,有利于提高转换柱的强度储备,这对于转换构件而言是合适的。采用主拉应力方式计算的抗剪承载力与采用弯曲抗剪承载力计算的结果差异很大,这是由构件的破坏特性决定的。而采用上述方法,可以初步确定转换构件的破坏特性,在对转换构件设计时可以进行相应的考虑,防止构件脆性破坏,提高构件的延性。
表4 转换柱抗剪承载力计算与试验结果对比
Table 4 Comparison between test and computer results

《混凝土结构设计规范》(GB 50010-2010)[18]6.3.3条对钢筋混凝土偏心受压构件,斜截面受剪承载力进行了如下规定:
其中:λ为计算截面的剪跨比,按照M/(Vh0)计算。对于框架将结构中的框架柱,当其反弯点在层高范围内时,取为Hn/(2h0),且1≤λ≤3;Hn为柱净高,h0为截面有效高度。
箍筋的作用不仅限于提供抗剪承载力,其对混凝土裂缝发展还起到约束作用,防止发生剪切破坏。对于转换柱构件,由于型钢的局部存在,构件刚度变化,导致其反弯点向混凝土部分移动,大致位于距混凝土柱端0.4倍的柱高位置,易产生“短柱型”的剪切破坏,根据童岳生等[17]对钢筋混凝土短柱的研究,本文偏于安全考虑,将箍筋提供的抗剪承载力进行折减,其斜截面受剪承载力进行如下修正:

表5为规范计算的转换柱抗剪承载力和修正公式与试验结果值的对比。从表5可以看到,采用规范计算的斜截面抗剪承载力在箍筋间距较大时能满足安全要求,而在箍筋间距较小时偏于不安全。
对于SRC-RC转换柱,由于型钢局部存在,反弯点向混凝土部分移动,易产生“短柱型”的剪切破坏,偏于安全考虑的抗剪承载力公式(26)计算的结果偏于安全。而由于反弯点位置的改变,使得混凝土部分柱的剪跨比有减小的趋势,因剪跨比越大,抗剪承载力越低,故按照规范规定框架柱中反弯点在柱中时的简化剪跨比计算抗剪承载力对转换柱来说是偏于安全的。
为验证修正的转换柱抗剪承载力计算公式的合理性和可靠性,采用上述建立的有限元方法,按照文献[3]的构件参数,建立如表6所示的试件,材料及截面尺寸同文献[3]。表7为各试件极限抗剪承载力与规范计算公式(25)及修正抗剪承载力公式(26)计算结果对比。可以看到,采用规范公式计算的抗剪承载力与试件分析的结果数值接近,在箍筋间距较小时,其计算结果可能大于试件的抗剪承载力,便于不安全。而修正后的抗剪承载力公式能较好的满足设计安全需求,其公式计算值与试件的抗剪承载力比值处于 0.7~0.9,这样有足够的冗余度,设计偏于安全合理。
表5 规范转换柱抗剪承载力计算值与试验结果对比
Table 5 Comparison between computer results with specification and test

表6 模拟试验参数
Table 6 Specimen material properties for simulation analyses

表7 试件极限抗剪承载力值
Table 7 Comparison of column strengths and design strengths for specimens

SRC-RC转换柱由于型钢的局部存在,转换柱刚度沿柱高有突变,柱两端截面弯矩分配发生变化,导致其反弯点向混凝土部分移动,随着型钢延伸长度的增加,反弯点大致位于距离混凝土部分0.4倍的柱高位置。根据转换柱的受力特性,研究了其在不同破坏特征下的抗剪承载力公式,并将计算得到的抗剪承载力与试验结果进行对比,结果表明:结果与试验结果吻合较好,部分构件的计算结果偏于安全,有利于提高转换柱的强度储备。而现有规范对转换柱的抗剪承载力的计算偏于不安全,而对箍筋提供的抗剪承载力进行折减的修正公式能较好的满足设计需求,计算结果偏于安全合理。最后通过有限元模拟分析验证了本文修正公式的适用性和安全性,防止构件脆性破坏,提高构件的延性。
参考文献:
[1]薛建阳, 伍凯, 赵鸿铁.低周反复荷载下型钢混凝土-钢筋混凝土竖向混合结构转换柱受剪性能试验研究[J].工程力学, 2013, 30(7): 55―60.Xue Jianyang, Wu Kai, Zhao Hongtie.Experimental study on shear performance of steel reinforced concrete-reinforced concrete transfer column under low cyclic reversed loading [J].Engineering Mechanics,2013, 30(7): 55―60.(in Chinese)
[2]JGJ 138-2001, 型钢混凝土组合结构技术规程[S].北京: 中国建筑工业出版社, 2001.JGJ 138-2001, Technical specification for steel reinforced concrete composite structures [S].Beijing:China Architecture and Building Press, 2002.(in Chinese)
[3]Suzuki H, Nishihara H, Matsuzaki Y, et al.Structural performance of mixed member composed of steel reinforced concrete and reinforced concrete [C].12th World Conference on Earthquake Engineering, 2000,2341: 1―8.
[4]今野修, 今泉隆之, 山本憲一郎, 等.超高層建筑物における下層階への SRC 構造適用に関する実験的研究, その1 SRC 柱の靭性性能に関する実験計画[C].日本建筑学大会学術講演梗概集, 九州, 1998: 1029―1030.Kon-No S, Imaizumi T, Yamamoto K, et al.Experimental study on high-rise building with lower floor composed of SRC structure.Part1: Outline of the tests about deformation capacity of SRC columns [C].Summaries of Technical Papers of Annual Meeting, Architectural Institute of Japan, Kyushu, 1998: 1029―1030.(in Japanese)
[5]木村润一, 新宮義信.繰返しせん断を受ける混合部材の構造性能[C].日本建築学会大会学術講演梗概集.九州, 1998: 1067―1068.Kimura J, Shingu Y.Structural performance of SRC-RC mixed member under cyclic bending moment and shear[C].Summaries of Technical Papers of Annual Meeting,Architectural Institute of Japan.Kyushu, 1998: 1067―1068.(in Japanese)
[6]伍凯, 薛建阳, 赵鸿铁.SRC-RC竖向混合结构转换柱破坏机理与抗剪承载力计算[J].工程力学, 2011,28(10): 133―138.Wu Kai, Xue Jianyang, Zhao Hongtie.Failure mechanism and shear capacity calculation of transfer column in SRC-RC hybrid structure [J].Engineering Mechanics, 2011, 28(10): 133―138.(in Chinese)
[7]冯乃谦, 叶列平.日本建筑学会钢骨混凝土结构计算标准及解说[J].北京:原子能出版社, 1998.Feng Naiqian, Ye Lieping.Japanese architectural society SRC structure calculation standard and explanation [J].Beijing: Atomic Energy Press, 1998.(in Chinese)
[8]Ellobody E, Young B.Numerical simulation of concrete encased steel composite columns [J].Journal of Constructional Steel Research, 2011, 67(2): 211―222.
[9]Collins M P, Mitchell D, MacGregor J G.Structural design considerations for high-strength concrete [J].Concrete International, 1993, 15(5): 27―34.
[10]ACI Committee.Building code requirements for structural concrete (ACI 318-11) and commentary (ACI 318R-11) [C].American Concrete Institute, 2011.
[11]Mander J B, Priestley M J N, Park R.Theoretical stress-strain model for confined concrete [J].Journal of structural engineering, 1988, 114(8): 1804―1826.
[12]Denavit M D, Hajjar J F, Leon R T.Seismic behavior of steel reinforced concrete beam-columns and frames [C].Proceedings of the ASCE/SEI Structures Congress, 2011:14―16.
[13]黄维, 钱江, 周知.考虑混凝土不同约束效应的型钢混凝土柱抗震性能模拟研究[J].工程力学, 2016,33(5): 157―165.Huang Wei, Qian Jiang, Zhou Zhi.Numerical simulation of the seismic performance of steel reinforced concrete columns by considering the lateral confining pressure [J].Engineering mechanics, 2016, 33(5): 157―165.(in Chinese)
[14]Paulay T, Priestly M J N.seismic design of reinforced concrete and masonry buildings [M].John Wiley & Sons,Inc., 2009: 300―500.
[15]CEB.RC Elements Under Cyclic Loading: State of the Art Report [C].SOTA report, 1996.
[16]赵国藩.高等钢筋混凝土结构学[M].北京: 科学出版社, 1998: 50―99.Zhao Guofan.High reinforced concrete structural study[M].Beijing: Science Press, 1998: 50―99.(in Chinese).
[17]童岳生, 钱国芳, 史庆轩, 等.钢筋混凝土短柱受剪承载力分析及箍筋拉条的作用[J].建筑结构学报, 2000,21(5): 11―21.Tong Yuesheng, Qian Guofang, Shi Qingxuan, et al.Analysis of shear resistant capacity of reinforced concrete short column and the effect of stirrup ties [J].Journal of Building Structures, 2000, 21(5): 11―21.(in Chinese)
[18]GB 50010―2010, 混凝土结构设计规范[S].北京:中国建筑工业出版社, 2010.GB 50010―2010, Code for design of concrete structures[S].Beijing: China Architecture and Building Press, 2010.(in Chinese)
STUDY ON SHEAR CAPACITY OF TRANSITION COLUMN IN VERTICALLY HYBRID STRUCTUER
HUANG Wei1,2, QIAN Jiang3, ZHOU Zhi3
(1.Hubei Key Laboratory of Theory and Application of Advanced Materials Mechanics (Wuhan University of Technology), Hubei, Wuhan 430070, China;2.Department of Mechanics and Engineering Structure, Wuhan University of Technology, Hubei, Wuhan 430070, China;3.State Key Laboratory of Disaster Reduction in Civil Engineering, Tongji University, Shanghai 200092, China)
Abstract:In a vertically hybrid structure, the steel is truncated in the transition column, which will lead to the distortion of the internal force transform.The finite element model of SRC-RC transition columns was developed using ABAQUS by considering different effects of restraint stress around concrete.The model has been validated against published experimental results.According to the internal force and deformation characteristics of a transformation column, the inflection point location was researched.Then, the shear capacity of the transition column was studied, and the results were compared with experimental results in references.Finally, parametric studies were performed to investigate the security and rationality of the shear capacity formula in code by FEM.The results showed that the shear capacity of existing specification is unsafe, and the formula needs to be revised by considering the internal force and deformation characteristics of a transformation column.
Key words:vertically hybrid structure; SRC-RC transition column; transmission distortion; inflection point;shear capacity
中图分类号:TU398+.9
文献标志码:A
doi:10.6052/j.issn.1000-4750.2016.12.0998
文章编号:1000-4750(2018)04-0096-11
收稿日期:2016-12-26;修改日期:2017-04-25
基金项目:国家自然科学基金项目(51608406);中央高校基本科研业务费专项基金项目(2017IVA061,2017IVB059)
通讯作者:黄维(1986―),男,湖北武汉人,讲师,工学博士,主要从事工程抗震与数值模拟研究(E-mail: whuang@whut.edu.cn).
作者简介:钱江(1960―),男,浙江绍兴人,教授,工学博士,博导,主要从事工程抗震与数值模拟研究(E-mail: jqian@tongji.edu.cn);
周知(1990―),男,湖北枝江人,博士生,主要从事工程抗震与数值模拟研究(E-mail: 2012zhouzhi@tongji.edu.cn).