孔隙固体超弹性本构模型与应用

马 康,程晓辉

(清华大学土木工程系,北京 100084)

摘 要:油气井封固、核废料填埋与浅层地热能利用等问题是能源岩土领域的研究热点。土体、岩石、混凝土材料的多场耦合本构模型理论是这些研究热点问题的核心所在。传统固体弹塑性力学、岩土力学与孔隙固体力学理论相比,由于其基本假设或构建手段的局限性,其关于岩石与混凝土材料的变形计算往往会产生较大误差,且理论扩展性不强。该文分别从饱和岩土力学理论、经典Biot孔隙弹性力学理论出发,阐述其在孔隙固体材料本构理论的相关研究工作,并进行梳理与对比;其后运用严格物理热力学理论框架,建立孔隙固体材料的超弹性本构模型;最后针对石灰石与水泥石的既有试验数据,验证孔隙固体超弹性本构模型的有效性。

关键词:岩土力学;Biot孔隙固体弹性;热力学;超弹性本构;弹性模量

孔隙固体材料包括土体、岩石、水泥石、混凝土等材料,饱和孔隙固体材料的力学研究源自土力学中固结理论和孔隙弹性固体的Biot固结理论[1]。目前在能源岩土和油气井水泥套筒的多场耦合问题上,急需将传统的等温饱和孔隙固体线弹性理论扩展为考虑温度效应的非线性非弹性非饱和的孔隙固体力学理论[2-3]

饱和的岩石与混凝土材料中有效应力原理与饱和土体材料有显著差别。土力学中有效应力原理众做周知,如下式:

式中:为有效应力;σij为总应力;p为孔隙水压力;δij为Kronecker符号。Terzghi提出的这一有效应力原理运用到饱和土体材料时有较好的结果,但对于饱和岩石、水泥石和混凝土材料的变形计算,其结果与试验实测值往往会产生不可接受的误差。这种误差产生的原因之一在于土体的有效应力原理忽视了饱和岩石、水泥石和混凝土材料固相、液相成分的压缩性。

区别于传统的土力学弹性固体理念,孔隙弹性固体的Biot理论,其基本假设之一认为组成孔隙固体材料的两相——固相(骨架)与液相(孔隙流体)均可压缩。这一基本假设的引入,从根本上改变了孔隙弹性固体的有效应力计算公式:

式中:b为Biot定义的“有效应力系数”[4]K为孔隙固体材料排水条件体积压缩模量;KS为孔隙固体材料固相体积压缩模量。对于饱和黏土或砂土材料,K/KS 取值在10-5~10-3范围内;而对于水泥石或混凝土材料,K/KS大约在0.08~0.12范围内取值;对于岩石材料,K/KS甚至会取值接近0.5[5]

孔隙弹性力学相关研究的最新进展主要集中在两方面:其一,主要集中在试验方面的研究,通过大量的关于水泥石或岩石材料的排水、不排水三轴等向压缩和无套封(unjacketed)等向压缩试验,测得材料的孔隙弹性力学常数,分析材料不同特性或不同压力水平对孔隙弹性材料变形行为的影响[6-10];其二,主要是在Biot早期关于孔隙弹性材料理论的基础上进行的一定程度的扩展,将基本的各向同性线性孔隙弹性力学理论,拓展到各向异性、非线性或多场耦合等层面的研究[11-17]。虽然这些理论的适用范围更广,但其构建本构方程的方法大多是在弹性固体的广义胡克定律基础上的直接拓展,如果要建立完整的多场耦合非线性孔隙弹性理论,这些理论研究工作将有较大的困难。

物理学家们运用流体动力学或平衡态、非平衡态热力学手段与方法,试图构建封闭方程组来描述单相或多相材料的宏观性质[18-19]。这种方法并不是直接建立材料的本构方程,而是通过构筑热力学势函数和迁移系数来表现材料的非线性、非弹性特性。物理学家们通常将这类在经典物理基础上构建的连续介质理论称为“流体动力学”。从本质上而言,饱和土体、岩石、水泥石和混凝土材料属于孔隙固体材料,而孔隙固体材料亦在多相材料的研究范畴内,其本构方程也可以通过流体动力学手段进行建立。通过这一途径,如果不考虑材料耗散机制,等同于弹性力学中的超弹性理论。通过此种方法建立的材料本构模型,比之于Biot孔隙弹性力学模型有较为严谨的热力学理论基础支撑且模型的扩展性较好。

基于上述研究现状,本文首先从Biot孔隙弹性力学理论出发,阐述其在孔隙固体弹性材料本构模型建立方面的基础工作;其次,基于平衡态热力学手段建立孔隙固体材料的本构模型,并表述其在几种特定试验条件下的应用;最后,结合典型孔隙固体材料相关试验,验证孔隙固体材料本构模型的适用性,为后续理论研究奠定基础。

1 Biot孔隙弹性力学理论简介

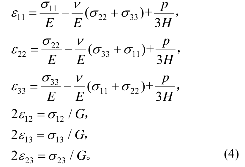
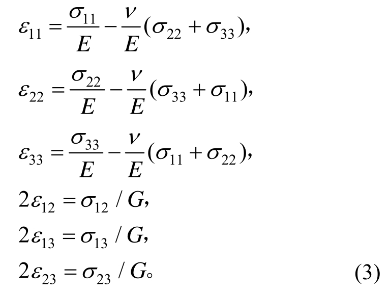
假设孔隙固体材料为各向同性、线性弹性,并满足小应变假定,选择一个孔隙固体材料RVE单元。每个表面上力的平均值视为总应力σij,材料总应变为εij。其中,总应力可以理解为由孔隙中所含液相产生的压强与固相平均应力的组合。为了完全表现材料的宏观特性,需要考虑孔隙中液相的变化。此处定义单位体积中液相体积的改变量为φ,即孔隙率的变化量;以及液相压力的变化值p,即孔隙水压力的变化。由于假设材料为弹性,表征材料宏观现象的变量(εij,φ)必为(σij,p)的函数。在弹性、小变形假定条件下,这两组变量之间的关系为线性,当不考虑液相压力变化时,此关系即为各向同性弹性体的胡克定律:

式中,EGν为孔隙固体材料的弹性模量、剪切模量和泊松比。

现在引入液相压力p变化的影响。由于材料存在各向同性假设,因此液相压力p的变化不会对剪切应变产生影响;基于同样的假设,液相压力p的变化对正应变(ε11,ε22,ε33)的影响效果是相同的。基于上述分析,应力与应变的关系可在各向同性弹性材料的基础上修改得到:

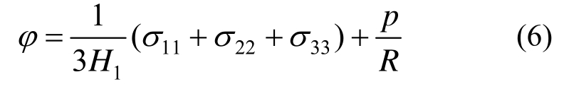
式中,H是一个新添加的物理常数。至此,多孔弹性固体的六个应变分量已经可以由六个应力分量与液相压力p的变化表示。但是,还缺少单位体积材料中液相体积改变量φ的表达式,对于饱和土体(不考虑固相、液相压缩性)而言,即为土体孔隙率的变化。对于φ最一般的假设可以认为其是六个应力分量与液相压力变化量p的线性函数,即:

此处不考虑多孔弹性固体的正剪耦合性,(σ12,σ13,σ23)将不会对φ产生影响,因此a4=a5=a6=0。基于各向同性假设,xyz三个方向对φ的影响效果相同,则a1=a2=a3,式(5)可修改为:

式中,H1R为两个物理常数。通过分析等向压缩条件下材料的弹性应变能函数,最终可证明H=H1。因此,可由式(4)与式(6)完全描述出材料的应力应变关系。其中,EνHR为四个独立的弹性模量。Eν的物理意义前文已经阐述;1/H可以理解为孔隙水压力变化所引起材料固相体积变化的压缩系数;1/R为液相压力变化所引起的材料含水量的变化,对于饱和土体而言,即为液相压力变化引起的土体孔隙率变化。综上所述,从广义胡克定律出发所构建的孔隙弹性本构模型需要四个独立的弹性常数去确定各向同性线性弹性孔隙固体材料的本构关系。

2 基于流体动力学的孔隙弹性理论

区别于Biot孔隙弹性力学理论框架,本文从平衡态热力学理论框架出发,建立孔隙固体材料的本构模型。首先,针对于孔隙固体材料的特殊性,分析其应变组成方程;其次,由平衡态热力学基本理论出发,构建孔隙固体材料的自由能函数;最终,通过自由能函数建立孔隙固体材料的能量密度函数,应用超弹性理论,得到材料的本构方程表达式,并与Biot孔隙弹性力学理论进行对比分析。

2.1 应变组成方程

与单相材料不同,固液两相组成的孔隙固体材料,由于其内部存在连通的孔隙空间,材料的总应变εij不能由两相之一的某一相单独表示,需要建立相应的协调条件综合考虑。这也是孔隙固体材料有别于两相材料的特点之一。除此之外,孔隙固体材料的应变组成亦是后文中特征试验算例验算的必要基础。

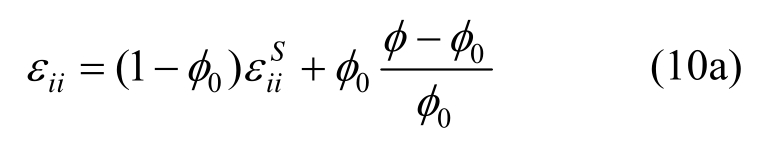
假设孔隙固体材料初始体积为为固相、液相初始体积,初始孔隙率为当材料变形后,体积为V,固相、液相体积为VSVL ,此时材料孔隙率为φ=VL/V0。与此同时,亦可定义材料关于当前体积的欧拉孔隙率为假设固相应变张量为有:

根据孔隙率的定义,可得初始与变形后的固相体积分别为:

由总应变εij的物理意义,可得到材料初始、变形后的体积有如下关系:

联立式(7)~式(9),可得到材料总应变εij、固相应变和孔隙率φ之间的协调关系:

式中,为变形前后孔隙率的变化,从某种意义而言,可视为液相的体积应变。换言之,材料的总体积应变是固相体积应变与液相体积应变关于初始孔隙率φ0的线性权重组合。假设饱和孔隙固体材料的固相是不可压缩的,由式(10b)可知,类似于固相不可压缩的饱和土体材料的体积应变完全由其孔隙率变化确定,这与传统的土力学理念相吻合。

2.2 热力学全微分方程

根据平衡态热力学理论[20-21]在不考虑动能与非弹性耗散机制的条件下,由固液两相组成的孔隙固体材料的内能密度可表示为:

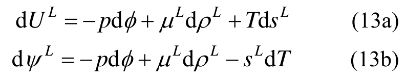
式中:等式第一项表示孔隙固体材料受到外力作用所产生的能量变化;εij为材料的弹性应变;σij为其共轭量;第二项表示孔隙固体材料相变、化学反应所产生的能量变化;μJ=L,S 代表液相、固相的化学势;ρJ=L,S 代表液相、固相的本征质量密度;第三项表示孔隙固体材料熵增所产生的能量变化;T代表温度;sJ=L,S 代表液相、固相的熵密度。在选取材料的热力学独立状态变量时,除了可以选取各相的本征质量密度作为独立状态变量之外,还可以选取材料的总密度与液相的浓度来代替本征密度[22]。对于不同的本构模型建立过程,为了方便起见可选取合适的独立状态变量集合进行建模,但两者是等价的,其等价性证明见附录。由热力学理论中Helmholtz自由能ψ=U-TS 的定义,可以得到孔隙固体材料的Helmholtz自由能密度为:

对于孔隙固体材料两相介质中的液相,其自身的能量方程应遵循经典热力学中牛顿流体的基本方程,即:

联立式(12)与式(13b),并考虑dφ=d(φ-φ0)=dφ 得到:

式中:dψS为固相的Helmholtz自由能密度;sS为固相的熵密度。

2.3 孔隙固体材料本构方程

基于上一节得到的孔隙固体材料固相的Helmholtz自由能密度,在不考虑相变、化学反应且等温的条件下,可得:

为了得到用应变张量(εii,eij)与孔隙水压力p表示的能量函数,对上式关于φ进行Legendre变换,得到:

则,能量密度函数S可改写为:

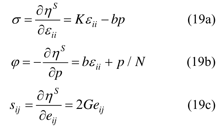
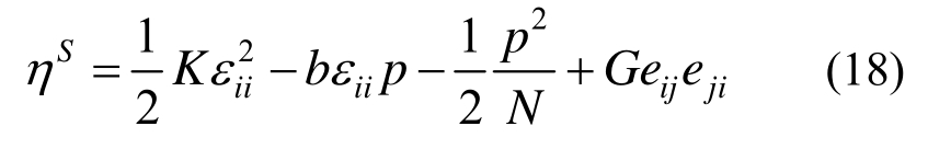
能量密度函数dηS的全微分形式表明其全量形式可表示为以自变量(εii,eij,p)所构成的函数。对于各向同性线性弹性材料而言,最简单的能量密度函数形式可表示为上述变量的二次项组合形式。由于液相不承担剪应力,则孔隙水压力p只与体积应变εii组合。因此,ηS最简单的形式可表示为:

由式(17)、式(18)可得:

式中:K为孔隙固体材料体积压缩模量;b为孔隙固体材料的有效应力系数;N为考虑孔隙水压力对孔隙率变化影响的模量;G为孔隙固体材料的剪切模量。

将通过平衡态热力学方法得到孔隙固体超弹性本构方程式(19)与Biot孔隙固体力学本构方程式(4)与式(6)对比,两套理论的模量存在如下关系:

由上述关系可知,体积压缩模量K可由剪切模量G与泊松比ν表示出;Biot有效应力系数b需要考虑孔隙水压力变化对体积应变改变的影响,这也正是参数H的物理意义所在;系数N反应了孔隙水压力变化对孔隙率变化的影响,这与系数R的物理意义吻合,其表达式中理应包含此系数;两套理论中,都将孔隙水压力变化与剪应变变化做了解耦的处理,因此,两套理论框架下的剪切模量G意义相同。通过模量的转化,两套理论对于线性弹性孔隙材料的本构关系描述是等价的。

2.4 孔隙固体材料特征试验模量

为了实际应用孔隙固体材料本构模型,需要进行孔隙固体材料特征试验以直接或间接确定本构模型中的弹性常数。由于模型中假定孔隙水压力变化与剪应变解耦,所以剪切模量G的测量可以由常规三轴压缩试验测得。模型中其余三个与体积应变相关的弹性常数KbN的测量需要进行三轴排水等向压缩试验、三轴不排水等向压缩试验与无套封等向压缩试验进一步确定。

对于三轴排水等向压缩试验,规定试验过程中孔隙水压力恒定于初始值,平均等向压力增加,测量试样的体积应变εii。将上述试验条件代入式(19a),得到三轴排水等向压缩试验条件下(增量形式):

对于三轴不排水等向压缩试验,规定试验过程中不能有液相流入流出试样,平均等向压力σ增加,孔隙水压力p随之变化,测量试样的体积应变εii。由于孔隙固体材料液相可压缩,所以在试验中只能确定液相质量恒定。液相体积压缩模量定义式为:

式中,为液相的本征质量密度。液相的表观质量密度可以定义为:

对式(23)进行全微分:

又有dφ=dφ,可将式(19b)与液相本征密度表达式代入式(24),整理得:

对于材料的不排水体积压缩模量而言,在三轴等向压缩条件下定义式为:

对式(19a)求导,得:

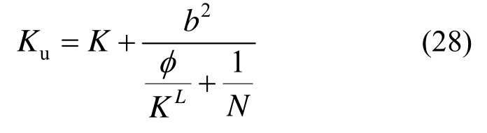
在不排水试验过程中,可以认为式(25)等式左边为零。将其代入式(27),并与不排水体积压缩模量定义式(26)相比较可得:

联立式(25)、式(26)可得:

通过土力学中在不排水条件下对于孔隙水压力系数B的定义,可知上式平均等向压力变化量前的系数即为孔隙水压力系数B的表达式。

针对孔隙固体材料,除了常规的三轴排水等向压缩与三轴不排水等向压缩试验之外,通常还需要补充无套封等向压缩试验。这种试验要求在初始无压力条件下,加载保持平均等向压力与孔隙水压力的变化值相同,这一点在土力学中可以理解为有效应力不变。但是对于孔隙固体材料而言,在Terzaghi有效应力不变的条件下也可能产生体积应变。对于无套封等向压缩试验,在初始平均等向压力与孔隙水压力为零的条件下,可以认为加载过程中σ=-p ,由于平均等向压力与孔隙水压力符号定义不同,此处孔隙水压力p前取负号。将此条件代入式(19a),并引入有效应力系数b的定义式(2b),可得在无套封试验条件下:

即,平均等向压力与体积应变的比值即为固相的体积压缩模量。

考虑无套封的试验条件下平均等向压力、孔隙水压力关系,有:

将式(10)与式(31),代入式(19b),得到:

联立式(28)与式(32)即可通过三轴不排水等向压缩试验与无套封等向压缩试验求得弹性常数bN。至此,即可测得孔隙固体材料的四个独立弹性常数。

3 孔隙固体材料特征试验分析

3.1 石灰石材料试验分析

Terzghi提出的有效应力原理的表达式是土力学理论的基石之一。但是,如若不假思索的运用式(1)分析岩土材料的三轴等向压缩试验结果,特别是岩石和混凝土材料的试验结果时,往往会产生不可忽视的偏差或误解。

按照有效应力原理的理念,岩土材料的体积应变只与材料所受的有效应力相关,即:

此时,在弹性范围内,有效应力的改变量Δσ′将会相应产生材料体积应变的改变Δεii 。但是,有效应力的改变可以来自总应力的改变,在三轴试验中可理解为平均等向压力的改变,即Δσ′=Δσ;同样,有效应力的改变也可以来自孔隙水压力的改变,即Δσ′=-Δp 。而这两种改变对材料体积应变改变所产生的效果应当是相同的。

基于上述推论,本文采用Boutéca等[23]针对石灰石材料进行了三轴试验结果进行分析,其加载路径如图1所示。

图1 三轴试验加载路径
Fig.1 Load path of the triaxial test

试验过程中,在初始无压力条件下,限定孔隙水压力恒定于初始值,平均等向压力逐级加载;当平均等向压力加载到一定值时,限定平均等向压力恒定,孔隙水压力逐级加载。当孔隙水压力到达一定值时,限定孔隙水压力值恒定,再次逐级加载平均等向压力,总共进行如此三次加载过程。

遵循上述加载路径,根据有效应力原理的推论,石灰石材料最终将不会产生体积应变,且平均等向压力和孔隙水压力的分级加载时,有效应力与体积应变曲线应是两条相互重叠的倾斜直线。但是,试验结果却与推论结果不同。

图2 应力-应变曲线试验结果[18]
Fig.2 Result of the stress-strain curve of the test[18]

如图2所示,在平均等向压力与孔隙水压力的分级加载下,石灰石材料最终产生了体积应变;平均等向压力的加载段与孔隙水压力的加载段应力应变斜率存在偏差,并没有产生预期的重合现象。如果采用第2.4节阐述的孔隙固体材料本构理论模型来分析此试验,结果会合理很多。

首先,对实验结果的表示形式进行改变,将原有的体积应变-有效应力坐标系按照第2.3节中本构方程式(19a)改变为体积应变与σ+bp坐标系,其结果如图3所示。

图3 新坐标系下试验结果
Fig.3 Test results in the new coordinate system

从图3可以看出,整个加载的阶段,“应力”σ-bp与体积应变的数据点几乎集中在同一条倾斜线上,曲线的斜率即为石灰石材料的排水体积压缩模量K。其次,依照式(19a)所示本构关系,当平均等向压力变化而孔隙水压力恒定时,有:

而当孔隙水压力变化而平均等向压力恒定时,有:

从式(34)、式(35)可以看出,单独加载平均等向压力或单独加载孔隙水压力时,石灰石材料的“体积压缩模量”是不同的,二者之间存在有效应力系数b倍的差别,这一点可以充分解释有效应力-体积应变实验结果中平均等向压力加载与孔隙水压力加载中体积压缩模量存在差异的现象。

但是,对于黏土或砂土材料,有效应力系数b趋向于1,由式(32)可知此时1/N趋向于0,于是,有:

即,材料的体积变形只与有效应力相关,且体积变形的变化为材料孔隙率的变化,这与传统的土力学理论相吻合。

3.2 水泥石孔隙固体材料特征试验分析

基于2.4节的研究可知,常规的土力学试验不一定能够满足孔隙固体材料(例如岩石或混凝土)的力学常数测量要求。针对硬化水泥浆体材料,Ghabezloo等[6]系统的做了无套封、排水和不排水三轴等向压缩的相关试验研究。在此,通过其试验测量结果验证本文提出的孔隙固体材料本构模型的正确性。

对于无套封等向压缩试验而言,其将测得材料的固相体积压缩模量KS ,通常KS是与应力水平无关的材料本征常数,这一点与试验结果一致。

在排水三轴等向压缩条件下,试验设定不同的孔隙水压力水平,平均等向压力线性循环加载;在不排水三轴等向压缩试验中,设定液相不能流入流出试样,平均等向压力线性循环加载。具体加载应力水平如表1所示。最终得到硬化水泥浆体的孔隙固体力学参数如表2所示。

表1 试验加载参数
Table 1 The loading parameters of tests

注:单位MPa,D代表排水试验,UD代表不排水试验。

试验编号 初始围压 初始孔压 围压循环-1 围压循环-2围压循环-3 D-1 1.0 1.0 10 20 —D-2 1.0 1.0 25 52 —D-3 1.0 1.0 20 40 60 D-4 23.5 23.5 36 48 60 D-5 47 47.0 60 — —UD-1 1.65 1.50 20 40 60 UD-2 1.85 1.65 15 30 50

试验结果处理中,将孔隙固体材料参数拟合为Terzaghi有效应力的线性函数。由表2可知孔隙固体材料参数随Terzaghi有效应力的变化较小,且在低Terzaghi有效应力水平条件下,可近似认为材料处于线性弹性状态,材料的孔隙固体材料参数可近似为常数,有:KS=21 GPa,K=8.69 GPa,Ku=11.25 GPa,b=0.586和B=0.4。硬化水泥浆体初始孔隙率φ0=0.26,液相的体积压缩模量KL=2.2 GPa为已知量。

表2 孔隙固体参数试验结果
Table 2 The result of poroelastic parameters of the tests

注:σ′单位MPa,此处采用无量纲处理,在计算时只取其数值。

孔隙固体参数 试验结果KS /GPa 21 K /GPa 8.69~0.087σ′Ku/GPa 11.25~0.099σ′b/(-) 0.586+0.004σ′B/(-) 0.4

根据式(2b),在固相本征体积压缩模量KS和排水条件体积压缩模量K确定的条件下,可计算得到有效应力系数b=0.586,与试验结果0.586吻合较好。将试验数据代入式(32),得到N=150 GPa,由此可见孔隙水压力对于孔隙率的变化影响较小。由式(28)得到Ku=11.44 GPa,与试验测得值11.25 GPa较为接近。由孔隙水压力系数B的表达式(29),得到B=0.42,与试验测得值0.4相接近。通过这些计算,从一个侧面证明了本文提出的孔隙固体材料本构理论的合理性,也为今后的理论拓展奠定了基础。

4 结论

本文分别从孔隙弹性力学理论出发,阐述其在饱和岩土材料本构理论的相关研究工作,并进行梳理与对比;其后在平衡态热力学理论框架下,建立了饱和岩土材料孔隙固体力学模型,并与Biot孔隙弹性力学进行对比分析;最后通过石灰石和硬化水泥砂浆的实测数据,验证了本文提出的孔隙固体力学本构模型的有效性。得到如下结论:

(1) 土力学有效应力原理可以视为孔隙弹性力学本构理论得一种特例。对于岩石或混凝土材料,后者往往有更强的适用性。孔隙弹性力学的本构理论,可以通过建立相应的超弹性模型推导得出。由平衡态热力学手段出发构建的本构理论适用性范围更广,物理意义清晰,且较为容易进一步拓展到非线性或热弹耦合等方向的研究。

(2) 孔隙弹性力学由于考虑了材料固相和液相的压缩性,可以解释土力学有效应力原理所无法解释的岩土材料试验现象。对于岩石或混凝土材料而言,如若仅仅采用土力学有效应力原理进行结果的分析,往往会得到偏离实际甚至错误的试验结论。

(3) 基于平衡态热力学手段建立的孔隙弹性力学本构模型,具有良好的拓展性。通过构建更加完备的能量密度函数可以将本文提出的线性弹性本构模型进一步拓展为各向异性、非线性或多场耦合。这也是本文后续工作的重要方向。

附录:

对于两相材料的热力学全微分方程构建时,通常存在两种独立状态变量集的选取,这两种选择二者择一即可,在数学层面上而言两者是等 价的。

在第一种独立状态变量集的选取下,两相材料的热力学全微分方程可表示为:

式中:s为两相材料的熵密度;mi为两相材料的动量密度;为两相材料的弹性应变;ρSMS /VρLML /V分别为固相与液相材料的表观质量密度。这些热力学独立状态变量的共轭量分别为温度T、速度vi、弹性应变σij、各相的化学势μSμL

除此之外,可以定义:

分别为两相材料的总质量密度与液相材料的浓度。如若将固相与液相材料的表观质量密度替换为两线材料的总质量密度与液相材料的浓度,可得到材料在第二种独立状态变量集下的热力学全微分方程:

式中:μμS(1-cL)+μLcS 为两相材料的化学势;χLρ(μL-μS )为液相的敏感性,反映固相、液相粒子之间的迁移性。将μχL的表达式代入式(A4)并联立式(A2)与式(A3)可得到与式(A1)相同的表达式。因此,两者在数学层面而言是等价的。

参考文献:

[1]Coussy O.Mechanics and physics of porous solids [M].United Kingdom: John Wiley & Sons, 2010: 61―83.

[2]Ghabezloo S, Sulem J.Effect of the volume of the drainage system on the measurement of undrained thermos-poro-elastic parameters [J].International Journal of Rock Mechanics & Mining Sciences, 2010,47(1): 60―68.

[3]郑黎明, 刘静, 蒲春生, 等.油藏渗流过程中孔隙弹性模型的分析与修正[J].中国石油大学学报(自然科学版), 2017, 41(3): 114―121.Zheng Liming, Liu Jing, Pu Chunsheng, et al.Analysis and modification of Biot poro-elastic theory for application in flow modeling of oil reservoirs [J].Journal of China University of Petroleum, 2017, 41(3): 114―121.(in Chinese)

[4]Biot M A.General theory of three-dimensional consolidation [J].Journal of Applied Physics, 1941,12(10): 155―164.

[5]李广信.高等土力学[M].第2版.北京: 清华大学出版社, 2016: 336―346.Li Guangxin.Advanced Soil Mechanics [M].2nd ed.Beijing: Tsinghua University Press, 2016: 336―346.(in Chinese)

[6]Ghabezloo S, Sulem J, Guédon S, et al.Poromechanical behaviour of hardened cement paste under isotropic loading [J].Cement and Concrete Research, 2008,38(12): 1424―1437.

[7]Ghabezloo S.Association of macroscopic laboratory testing and micromechanics modelling for the evaluation of the poroelastic parameters of a hardened cement paste[J].Cement and Concrete Research, 2010, 40(8): 1197―1210.

[8]张守伟, 孙建孟, 苏俊磊, 等.砂砾岩弹性试验研究[J].中国石油大学学报(自然科学版), 2010, 34(5):63―76.Zhang Shouwei, Sun Jianmeng, Su Junlei, et al.Experimental investigation on elasticity of glutenite [J].Journal of China University of Petroleum, 2010, 40(8):1197―1210.(in Chinese)

[9]金浏, 杜修力.孔隙率变化规律及其对混凝土变形过程的影响[J].工程力学, 2013, 30(6): 183―190.Jin Liu, Du Xiuli.Variation of porosity and its effect on the deformation process of concrete [J].Engineering Mechanics, 2013, 30(6): 183―190.(in Chinese)

[10]金浏, 张仁波, 杜修力.力学损伤混凝土热传导行为细观研究[J].工程力学, 2018, 35(2): 84―91.Jin Liu, Zhang Renbo, Du Xiuli.Meso-scale investigation on thermal conduction behavior in concrete with mechanical damage [J]Engineering Mechanics,2018, 35(2): 84―91.(in Chinese)

[11]高彦芳, 陈勉, 林伯韬, 等.多相非饱和多重孔隙介质的有效应力定律[J].工程力学, 2019, 36(1): 32―43.Gao Yanfang, Chen Mian, Lin Botao, et al.Generalized effective stress law for multi-porosity media unsaturated with multiphase fluids [J].Engineering Mechanics, 2019,36(1): 32―43.(in Chinese)

[12]Ghabezloo S.A micromechanical model for the effective compressibility of sandstones [J].European Journal of Mechanics A/Solids, 2015, 51: 140―153.

[13]David E C, Zimmerman R W.Elastic moduli of solids containing spheroidal pores [J].International Journal of Engineering Science, 2011, 49(7): 544―560.

[14]Cheng A D.Material coefficients of anisotropic poroelasticity [J].International Journal of Rock Mechanics and Mining Sciences, 1997, 34(2): 199―205.

[15]阚晋, 王建祥.一种孔隙介质力学模型及在水泥基材料的应用[J].力学学报, 2012, 44(6): 1066―1070.Kan Jin, Wang Jianxiang.A mechanical model of porous media and it's application in cement materials [J].Chinese Journal of Theoretical and Applied Mechanics,2012, 44(6): 1066―1070.(in Chinese)

[16]蔡新树, 陈勉, 金衍, 等.各向异性多重孔隙介质有效应力定律[J].工程力学, 2009, 26(4): 57―60.Cai Xinshu, Chen Mian, Jin Yan, et al.An effective stress law for anisotropic multi-porosity media [J].Engineering Mechanics, 2009, 26(4): 57―60.(in Chinese)

[17]张宏.热弹塑性孔隙介质固结问题研究[J].岩石力学与工程学报, 2000, 19(增刊): 845-848.Zhang Hong.Analysis on consolidation of poremedia of thermo-elasto-plasticity [J].Chinese Journal of Rock Mechanics and Engineering, 2000, 19(Suppl): 845―848.in Chinese)

[18]Jiang Yimin, Liu Mario.Granular solid hydrodynamics[J].Granular Matter, 2009, 11(3): 139―156.

[19]Jiang Yimin, Itai Einav, Liu Mario.A thermodynamic treatment of partially saturated soils revealing the structure of effective stress [J].Journal of the Mechanics and Physics of Solids, 2017, 100: 131―146.

[20]Zhang Z C, Cheng X H.Effective stress in saturated soil:a granular solid hydrodynamics approach [J].GranularMatter, 2014, 16(5), 761―769.

[21]Zhang Z C, Cheng X H.A fully coupled THM model based on a non-equilibrium thermodynamic approach and its application [J].International Journal for Numerical and Analytical Methods in Geomechanics,2017, 41(4): 527―554.

[22]Einav, Itai, Liu Mario.Hydrodynamic derivation of the work input to fully and partially saturated soils [J].Journal of the Mechanics and Physics of Solids, 2018,110: 205―217.

[23]Boutéca M, Sarda J P.Experimental measurements of thermoporoelastic coefficients [J].Mechanics of Porous Media, 1995: 31―41.

THE HYPERELASTIC CONSTITUTIVE MODEL OF POROUS SOLID AND ITS APPLICATION

MA Kang , CHENG Xiao-hui
(Department of Civil Engineering, Tsinghua University, Beijing 100084, China)

Abstract: The sealing of oil and gas wells, nuclear waste landfilling, and shallow geothermal energy utilization are hot research topics in the field of energy geotechnics, while the constitutive model theory of soil, rock, and concrete materials is the core area of these studies.However, errors arise from the calculation of deformation of rock and concrete materials due to the limitations of basic assumptions or construction methods in traditional soil mechanics and pore elasticity theory, the theoretical scalability of which is also weak.Based on the theory of saturated soil mechanics and pore elasticity theory, this paper analyzes and evaluates the related research work on the constitutive theory of porous solid materials.Furthermore, it uses thermodynamic means to establish the hyperelastic constitutive model of porous solid materials.The effectiveness of the proposed mechanical model is verified by the existing experimental datum on limestone and hardened cement paste.

Key words: geomechanics; Biot poroelasticity; thermodynamics; hyperelasticity; elasticity modulus

中图分类号:TU341

文献标志码:A

doi: 10.6052/j.issn.1000-4750.2018.06.0314

文章编号:1000-4750(2019)07-0248-09

收稿日期:2018-06-04;修改日期:2019-03-16

基金项目:软土能源桩温度蠕变的微观机理与热力耦合宏观模型研究项目(51778338)

通讯作者:程晓辉(1971―),男,陕西人,副教授,博士,博导,主要从事岩土力学本构理论研究(E-mail: chengxh@tsinghua.edu.cn).

作者简介:马 康(1989―),男,陕西人,博士生,主要从事岩土体本构模型研究(E-mail: mak15@mails.tsinghua.edu.cn).