波形钢板剪力墙及组合墙抗剪承载力研究

王 威,刘格炜,苏三庆,张龙旭,任英子,王 鑫

(西安建筑科技大学土木工程学院,陕西,西安 710055)

摘 要:为研究波形钢板剪力墙及其组合墙在水平荷载作用下的破坏形态、受力性能以及抗剪承载力计算方法,设计了4个波形钢板剪力墙及其组合墙试件,进行了低周往复加载试验,并采用ABAQUS有限元软件对24个波形钢板剪力墙及其组合墙模型进行了模拟分析。研究结果表明:波形钢板剪力墙具有较好的变形能力,波形钢板能有效抑制混凝土裂缝的发展,并与混凝土具有很好的界面粘结力,水平波形钢板剪力墙较易在约束边缘构件底部形成塑性铰;波形钢板剪力墙及其组合墙具有较好的承载能力、延性和耗能能力,且承载力下降缓慢;ABAQUS有限元软件能较好地模拟试验,模拟结果与试验结果吻合较好,有限元计算结果表明:承载力随波形钢板的厚度和波角的增加有少量增加,此外,波形钢板-混凝土组合剪力墙承载力随剪跨比的增加而降低,竖向波形钢板剪力墙的抗侧承载力性能与水平波形钢板剪力墙的基本相同;该文提出的波形钢板剪力墙及其组合墙抗剪承载力计算公式,计算值与试验值吻合良好,可为设计和工程实际参考;H型钢柱对波形钢板-混凝土组合剪力墙的抗剪承载力贡献最小,竖向波形钢板对组合墙剪力分担率大于水平波形钢板的,竖向波形钢板更有利于提升组合墙的承载性能。

关键词:波形钢板剪力墙;波角;钢板厚度;滞回性能;低周循环加载试验;有限元分析;抗剪承载力公式

钢板剪力墙是20世纪70年代发展起来的一种抗侧力构件[1],目前,国内外对钢板剪力墙及其组合墙抗震性能进行了大量的试验研究[2-7],并得出其滞回性能和受力机理等。波形钢板剪力墙是基于平钢板剪力墙发展起来的一种新型抗侧力构件,具有较大的平面外刚度,能有效提高剪力墙的抗侧承载力以及整体稳定性。此外,波形钢板在水平荷载作用下会产生拉压变形[8],以达到耗能的目的。波形钢板剪力墙具有较好的抗侧力性能,适用于地震设防烈度较高的地区。

钢板剪力墙及其组合墙的抗剪承载力计算已基本成熟,美国FEMA 450(1995)[9]给出了平钢板剪力墙基于“拉压杆模型”[10]的抗剪承载力计算公式:

式中:fyt分别为钢板的屈服强度和厚度;L为竖向边缘构件的净距;α为钢板条带的角度;H为水平边缘构件中心线间的距离;AcAb分别为水平和竖向边缘约束构件的截面积。

目前,国内外对波形钢板剪力墙及其组合墙的受力机理以及抗剪承载力研究尚未成熟,抗剪承载力还没有比较成熟可靠的计算方法。因此,本文将在Yi等[11]的研究基础上,结合ABAQUS有限元模拟结果和试验结果,提出波形钢板剪力墙及其组合墙的抗剪承载力的理论计算公式,为波形钢板剪力墙的设计与应用提供参考。

1 试验概况

1.1 试件制作

本试验共制作了4个波形钢板剪力墙及其组合剪力墙试件,编号分别为SPSW-2、SPSW-3、SPCSW-2和SPCSW-3。其中H型钢梁规格为HM244×175×7×11,H型钢柱规格为HN150×75×5×7,H型钢梁腹板上焊接有加劲肋若干,以加强加载梁和地梁的稳定性和抗剪刚度,波形钢板与H型钢梁、H型钢柱采用焊接连接。对于波形钢板-混凝土组合剪力墙,在波形钢板焊接间距为200 mm的梅花形布置栓钉,墙体布置φ6@200的双层双向钢筋,加载梁和地梁配φ16纵向钢筋和φ8@100箍筋,竖向分布钢筋上下两端点焊在H型钢上。波形钢板的波角θ定义如下:由平钢板弯折成波形钢板所转动的角度,本文取θ=45°,试件设计如图1、图2所示,各试件设计参数见表1。

图1 波形钢板剪力墙构造 /mm
Fig.1 Details of corrugated steel plate shear wall

表1 试件参数
Table 1 Parameters of specimens

注:t为钢板厚度。

试件编号 钢板特征 θ/(°) t/mm SPSW-2 竖向波形钢板 45 3 SPSW-3 水平波形钢板 45 3 SPCSW-2 竖向波形钢板 45 3 SPCSW-3 水平波形钢板 45 3

图2 波形钢板-混凝土组合剪力墙构造/mm
Fig.2 Details of corrugated steel plate concrete composite shear wall

1.2 材性试验

本次试验使用的钢材为Q235钢,混凝土采用C35商混。关于材性试验,对钢材进行单拉试验[12],对混凝土试块进行单压,试验结果见表2。

表2 材料力学性能
Table 2 Mechanical property of materials

注:fcu为混凝土的抗压强度;fy为钢材的屈服强度;fu为钢材的极限强度。

混凝土 钢板 φ6钢筋f/MPa fy/MPa fu/MPa fy/MPa fu/MPa cu 46.8 292 394 313 435

1.3 试验加载

试验采用低周反复水平荷载加载方法[13],用以模拟试件在地震作用下的受力性能,在试件顶部用液压千斤顶施加竖向荷载,在试验过程中保持不变,控制4个试件的轴压比均为0.15,试件的方位为:靠近作动器一侧为西侧,远离作动器一侧为东侧,试件面南朝北,东西方向放置,东西方向为平面内,加载方向,朝东为推,朝西为拉。加载装置如图3所示。该试验采用荷载和位移混合控制方法,试件屈服以前采用荷载控制,荷载分级加载,波形钢板剪力墙与波形钢板混凝土组合墙加载制度有略微的差别,前者第1级水平荷载为±10 kN,其后每级加载±20 kN,每级循环一遍,后者在混凝土开裂之前每级荷载为±20 kN,混凝土开裂后每级荷载为±50 kN。试件屈服以后采用位移加载,按屈服位移的整数倍循环加载,每一级位移循环3次,直至试件破坏或荷载下降至最大荷载的85%。

图3 加载装置
Fig.3 Test setup

2 试验结果及分析

2.1 试验过程及主要结果

1) 试件SPSW-2在加载初期保持弹性状态,水平荷载加至40 kN的过程中,波形钢板开始产生平面外小变形鼓曲并发出挫屈声,当水平荷载加至160 kN时,H型钢柱与波形钢板接缝处产生明显的局部屈曲变形,当水平荷载加至280 kN时,波形钢板开始屈服,波形钢板表面出现45°方向的局部屈曲变形,荷载-位移曲线明显偏离直线,改为位移控制加载。随着位移的增加,波形钢板局部屈曲变形非常明显,且东侧H型钢顶端产生平面外17 mm左右的位移,当推至38 mm时,波形钢板形成X形的剪切破坏,随着东侧H型钢的平面外变形不断扩大,导致墙体出现平面外失稳破坏,试件破坏形态如图4所示。

图4 试件SPSW-2破坏形态
Fig.4 Failure mode of SPSW-2

2) 试件SPSW-3在屈服前保持弹性状态,没有明显的变形现象,当水平荷载加至330 kN时,试件屈服,荷载-位移曲线明显偏离直线,改为位移控制加载。当推至墙体顶点位移为32 mm时,由于波形钢板波角与H型钢柱翼缘相交部位发生应力集中,东西两侧的H型钢柱均在距离地梁上表面约400 mm高的位置处出现翼缘的局部屈曲,东侧的H型钢柱柱顶部出现约25 mm的平面外变形,西侧的H型钢柱出现约18 mm的平面外变形,此时波形钢板发出明显的挫屈声。当推至墙体顶点位移为48 mm时,墙体出现整体失稳破坏。试件从开始加载至试验结束的过程中,波形钢板与边缘约束构件之间的焊缝未出现开裂,试件破坏情况如图5所示。

图5 试件SPSW-3破坏形态
Fig.5 Failure mode of SPSW-3

3) 试件SPCSW-2的开裂荷载为200 kN,裂缝发展先为水平向发展,然后再沿45°方向向墙体内发展,其中在墙体中间部位沿竖直方向产生与水平方向呈60°的短斜裂缝,且裂缝不再向两边发展,说明波形钢板能抑制裂缝发展。试件的西侧受拉方向屈服荷载为419.7 kN,东侧受压方向屈服荷载为579.4 kN时,荷载-位移曲线明显偏离直线,改为位移控制加载。当顶点位移达到16.4 mm时,形成斜向剪切主裂缝,水平裂缝和斜裂缝宽度不断增加,当顶点位移达到41 mm时,东西两侧墙趾的H型钢柱底部屈曲严重,纵向钢筋发生平面外屈曲,墙趾混凝土脱落严重。当顶点位移达到49.2 mm时,主斜裂缝与墙趾塑性铰贯通,裂缝宽度达2 mm,墙趾完全破坏,失去承载能力,在整个加载过程中混凝土和波形钢板并未出现脱离,表明二者之间具有很好的界面粘结力,试件最终破坏情况如图6所示。

图6 试件SPCSW-2破坏形态
Fig.6 Failure mode of SPCSW-2

4) 试件SPCSW-3的开裂荷载为300 kN,裂缝发展先为水平向发展,然后再沿与水平方向呈30°夹角向墙体内发展,且裂缝集中在墙体下部,不再向上下发展,说明波形钢板能抑制裂缝发展。试件推方向屈服荷载为450.0 kN,西侧受拉方向屈服荷载为440.9 kN。荷载-位移曲线明显偏离直线,改为位移控制加载。当顶点位移达到16.8 mm时,水平裂缝和斜裂缝宽度不断增加,墙趾混凝土开始脱落,形成墙趾塑性铰,当顶点位移达到28 mm时,东西两侧墙趾的H型钢柱底部屈曲严重,纵向钢筋发生平面外屈曲,墙趾混凝土脱落严重。当顶点位移达到33.6 mm时,墙体底部形成水平贯通裂缝,裂缝宽度达3 mm,试件破坏,在整个加载过程中混凝土和波形钢板并未出现脱离,表明二者之间具有很好的界面粘结力,试件最终破坏情况如图7所示。

图7 试件SPCSW-3破坏形态
Fig.7 Failure mode of SPCSW-3

2.2 破坏机理分析

1) 波形钢板剪力墙

在水平荷载作用下,试件SPSW-2和试件SPSW-3经历了弹性、弹塑性、塑性和破坏四个阶段,波形钢板均产生了明显的拉压变形效应,其中试件SPSW-2的竖向波形钢板产生了局部屈曲和整体屈曲,H型钢柱未屈曲,试件SPSW-3两侧H型钢柱发生屈曲,最终试件SPSW-2和试件SPSW-3发生墙体失稳破坏。

2) 波形钢板-混凝土组合剪力墙

试件SPCSW-2和试件SPCSW-3的剪跨比为1.5,在加载过程中,首先沿墙体东西两侧产生自下而上的水平弯曲裂缝。随着荷载的增加,形成剪切斜裂缝,且裂缝的长度和宽度不断发展,墙体中部混凝土也出现斜裂缝,墙趾部位混凝土产生受压裂缝和局部压碎,端部H型钢柱和钢板屈服。随着荷载的继续增加,裂缝迅速发展,墙趾部位的混凝土剥落严重,H型钢柱外露并发生局部屈曲变形,波形钢板-混凝土组合剪力墙达到峰值荷载。在试件破坏阶段,墙体主裂缝和底部水平裂缝贯通,墙趾塑性铰区破坏严重,承载力下降明显,因此,两个试件均为弯剪型破坏。

2.3 受力机理分析对比

1) 波形钢板剪力墙受力机理。竖向波形钢板剪力墙的波形钢板沿顺波纹方向(试件SPSW-2波形钢板东西方向)拉压时基本没有承载能力,并有明显的拉压变形产生,使竖向波形钢板剪力墙的刚度退化。而沿垂直波纹方向受力时,则具有较好的承载能力。由此,水平钢板剪力墙可以有效地避免此种现象。因此SPSW-3试件的力学性能较之于SPSW-2试件相对较好。

2) 组合剪力墙受力机理。在往复荷载作用下,试件SPCSW-3的约束边缘构件的底部由于发生应力集中会出现屈曲变形,导致墙趾混凝土开裂甚至脱落;而试件SPCSW-2在循环往复荷载作用下,墙趾混凝土首先被压碎,随后约束边缘构件底部出现屈曲变形,墙体的组合作用工作性能较好,这是试件SPCSW-2比SPCSW-3承载力高的原因。

2.4 滞回性能分析

各个试件的荷载-位移滞回曲线如图8所示,对比滞回曲线可以得出。

1) 弹性阶段,试件SPSW-2滞回曲线有一定的捏拢现象,试件SPSW-3的滞回曲线无捏拢,试件滞回环面积和残余变形较小。随着荷载不断增大,滞回环面积逐渐增大,试件SPSW-2滞回曲线捏拢现象消失,试件SPSW-2和试件SPSW-3滞回曲线呈饱满的梭型,承载力退化缓慢,表现出较好的延性和耗能能力,且试件SPSW-2和试件SPSW-3的滞回性能相差不大。

图8 试件荷载-位移滞回曲线
Fig.8 Load-displacement hysteretic curves of spcimens

2) 弹性阶段,试件SPCSW-2和试件SPCSW-3滞回曲线无捏拢现象,滞回面积和残余变形较小,耗能较少。随着荷载的增大,试件逐渐屈服,滞回环面积逐渐增大,滞回曲线斜率开始下降,逐渐出现捏拢现象,滞回环面积和残余变形增大,承载力和刚度退化缓慢,最终滞回曲线呈饱满的梭型,表现出较好的滞回性能,其中试件SPCSW-3的承载力和极限位移均比试件SPCSW-2的大。

3) 试件SPCSW-2滞回曲线不对称的原因是由于试件滞回特性具有随震动幅值不断增大,滞回环有逐渐减缩的趋势,即慢变性质[14]。且在试件加载过程中墙体出现了平面外变形。

根据荷载-位移滞回曲线可以得到各个试件的峰值荷载Fm、峰值位移Δm、极限荷载Fu、极限位移Δu以及极限位移角θu,见表3。

表3 试件特征点
Table 3 Characteristic points of specimens

注:表中各特征点的数值为正反向的平均值。

试件编号 峰值点 极限点Fm/kN Δm/mm Fu/kN Δu/mm θu SPSW-2 369.1 28.5 313.7 37.1 1/57 SPSW-3 384.0 32.0 326.4 42.0 1/50 SPCSW-2 731.5 41.0 621.8 46.9 1/42 SPCSW-3 540.3 30.8 459.3 33.6 1/58

从表中可以看出:试件SPSW-2和试件SPSW-3的峰值荷载相差不大,试件SPSW-3的变形能力大于试件SPSW-2的;试件SPCSW-2的承载力和变形能力均优于试件SPCSW-3的。此外,4个试件的极限位移角均大于《钢板剪力墙技术规程》(JGJ/T 380―2015)[15]规定的极限值,说明波形钢板剪力墙及其组合墙具有较好的变形能力。

3 ABAQUS有限元数值模拟

3.1 有限元建模及构件参数

采用ABAQUS有限元软件对钢板剪力墙及其组合墙模型进行了非线性数值模拟。有限元模型中钢板采用S4R壳单元(Shell Element),钢梁、加劲肋及钢梁两端的端板、H型钢柱、混凝土均采用C3D8R实体单元(Solid Element),钢筋单元采用桁架单元(Truss),其中加劲肋分别与H型钢采用绑定(Tie)连接,波形钢板分别与H型钢柱和H型钢梁采用绑定(Tie)连接,此外在H型钢柱上布置垫块支撑,以模拟试验中水平支撑,波形钢板与混凝土之间采用面-面接触,法向为硬接触,切向取摩擦系数为0.3,其余钢构件和钢筋网采用嵌入(Embedded)混凝土中。采用ABAQUS有限元软件模拟时,钢材采用弹塑性强化等效本构模型[16],混凝土采用塑性损伤本构模型[17-18],材性试验数据参照表1。

有限元建模首先验证模拟与试验结果的吻合程度,在此基础上,进一步明确波形钢板厚度、波角以及剪跨比对波形钢板剪力墙及其组合墙的抗侧承载力性能影响,本文共建立24个有限元模型,通过ABAQUS软件建立的有限元模型如图9所示,各模型的规格尺寸见表4。

图9 有限元模型
Fig.9 Finite element model

表4 有限元模型参数
Table 4 Parameters of finite element model

注:t为钢板厚度;n为试件的轴压比;λ为试件的剪跨比。

模型编号 钢板特征 θ/(°) t/mm n λ SPSW-2-A 竖向波形钢板 45 3 0.15 1.5 SPSW-2-B 竖向波形钢板 45 2 0.15 1.5 SPSW-2-C 竖向波形钢板 45 4 0.15 1.5 SPSW-2-D 竖向波形钢板 30 3 0.15 1.5 SPSW-2-E 竖向波形钢板 60 3 0.15 1.5 SPSW-3-A 水平波形钢板 45 3 0.15 1.5 SPSW-3-B 水平波形钢板 45 2 0.15 1.5 SPSW-3-C 水平波形钢板 45 4 0.15 1.5 SPSW-3-D 水平波形钢板 30 3 0.15 1.5 SPSW-3-E 水平波形钢板 60 3 0.15 1.5 SPCSW-2-A竖向波形钢板 45 3 0.15 1.5 SPCSW-2-B竖向波形钢板 45 2 0.15 1.5 SPCSW-2-C竖向波形钢板 45 4 0.15 1.5 SPCSW-2-D竖向波形钢板 45 3 0.15 2.0 SPCSW-2-E竖向波形钢板 45 3 0.15 1.0 SPCSW-2-F竖向波形钢板 30 3 0.15 1.5 SPCSW-2-G竖向波形钢板 60 3 0.15 1.5 SPCSW-3-A水平波形钢板 45 3 0.15 1.5 SPCSW-3-B水平波形钢板 45 2 0.15 1.5 SPCSW-3-C水平波形钢板 45 4 0.15 1.5 SPCSW-3-D水平波形钢板 45 3 0.15 2.0 SPCSW-3-E水平波形钢板 45 3 0.15 1.0 SPCSW-3-F水平波形钢板 30 3 0.15 1.5 SPCSW-3-G水平波形钢板 60 3 0.15 1.5

3.2 有限元模拟结果与试验结果对比分析

通过ABAQUS有限元软件计算结果,可以得到有限元模型的滞回曲线,将模拟结果同试验结果进行对比,如图10所示。从图中可以看出:有限元软件计算结果与试验值基本吻合,试件屈服前,模型的抗侧刚度略高于试验值,其滞回环面积也略微高于试验结果。试件屈服后,呈现出一定的捏拢现象,这是由混凝土和钢材之间产生的滑移以及墙体轻微的倾斜引起的,有限元软件计算结果也呈现出捏拢现象。随着荷载的继续增加,进入塑性阶段,通过模拟得到的滞回曲线基本与试验一致,有限元软件计算的峰值荷载与试验值相差不大,误差基本都在10%以内,见表5。

图10 有限元计算结果和试验结果对比
Fig.10 Comparison between the results of finite element calculation and experimental results

表5 模拟值与试验值的对比
Table 5 Comparison of simulated and experimental results

试件 模拟值/kN 试验值/kN 模拟值/试验值SPSW-2 394.5 369.1 1.069 SPSW-3 403.6 384.0 1.051 SPCSW-2 771.1 731.5 1.054 SPCSW-3 582.8 540.3 1.079

造成有限元与试验误差的原因主要是由于在有限元分析时,钢材和混凝土之间的粘结滑移是处于理想情况之下的,而在试验中波形钢板同混凝土都存在各种实际因素的影响,如波形钢板的初始缺陷,界面粘结滑移,加载偏心等。故有限元分析的承载力比试验值略大。实际有限元分析的承载力与试验结果吻合较好,对波形钢板剪力墙及其组合墙作进一步分析,考虑不同钢板厚度、波角以及剪跨比对其抗侧力性能的影响,有限元软件计算结果如图11所示。

图11 骨架曲线对比
Fig.11 Skeleton curves of model

试验加载时的支撑不能完全与有限元模拟时通过加设支撑的方式相对应,故有限元所模拟得出的破坏形式表现为因试件两侧的H型钢柱出现平面外弯曲所引起的失稳破坏,而试验试件的破坏形式为试件一侧的H型钢柱上部出现平面外失稳破坏。试件SPSW-3 与模型SPSW-3A在破坏阶段,有限元模拟与试验试件均为H型钢柱上部的平面外失稳破坏,模拟与试验试件破坏形态相吻合。试件SPCSW-2的混凝土裂缝开展走向与模型SPCSW-2A的混凝土应力分布基本吻合,模型的混凝土应力主要集中在组合墙的4个墙趾处。模型SPCSW-2A与试验试件SPCSW-2的内嵌波形钢板的应力发展方向都是沿拉压应力带方向。且模型与试验试件破坏形态一致,都为弯剪破坏。试件SPCSW-3与模型SPCSW-3A破坏形态也一致,都为弯剪破坏。

从图11中可以看出:波形钢板剪力墙及其组合墙的初始抗侧刚度基本相同,骨架曲线呈明显的S型,表现出较好的抗侧力性能,波形钢板剪力墙及其组合墙的承载力随波形钢板的厚度和波角的增加有少量增加,此外,波形钢板-混凝土组合剪力墙的承载力随着剪跨比的增加而降低。对比图11(a)和图11(b)可知:竖向波形钢板剪力墙的抗侧承载力性能与水平波形钢板剪力墙的基本相同。

4 波形钢板剪力墙及其组合墙抗剪承载力计算

4.1 波形钢板剪力墙抗剪承载力计算

Yi等[11]通过大量的有限元模拟以及理论分析,给出波形钢板的抗剪承载力计算公式,认为波形钢板主要通过剪切屈服承担水平荷载,抗剪承载力与钢板的高度、宽度、厚度和波形的几何参数等因素有关,将波形钢板剪力墙的屈曲类型可以划分为三种:局部屈曲、整体屈曲和相关屈曲。

1) 局部屈曲

式中:E为弹性模量;ν为泊松比;tw为钢板厚度;am为平波段长a和斜波段长b的最大值;kL是与边界条件有关的屈曲系数,本文kL=8.98+5.6(am/L)2

2) 整体屈曲

式中:L为波形钢板沿水平方向的宽度;kG是与波形钢板材料和几何参数有关的常数,为波形钢板的波幅;h为波形钢板短边尺寸;β为整体屈曲系数,取值范围为1.0~1.9,本文取1.2。

3) 相关屈曲

基于上述研究背景,根据有限元计算结果,竖向波形钢板剪力墙和水平波形钢板剪力墙的承载力相差不大,波形钢板剪力墙的屈曲类型均为相关屈曲。波形钢板的抗剪承载力与其高厚比λs和稳定系数φs有关,本文结合有限元结果,通过拟合得到波形钢板的稳定系数φs和高厚比λs的关系式如下:

其中,高厚比可按式(7)计算:

式中:τy是波形钢板的剪切屈服应力,根据Mises屈服准则确定,

因此,得到波形钢板的抗剪承载力计算公式:

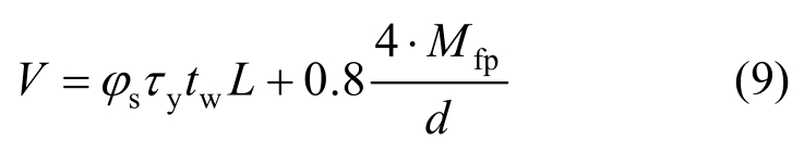
再结合Sabouri-Ghomi等[19]提出的“PFI模型理论”,利用叠加原理将内嵌钢板和框架的承载力叠加起来,从而得到波形钢板剪力墙的抗侧承载力计算公式如下:

式中:Mfp为柱子的塑性弯矩;d为墙体的高度根据式(9)计算得到波形钢板剪力墙的抗剪承载力,并将计算结果同有限元软件计算结果对比,见表6。从表中可以看出:通过计算公式得到结果与有限元软件计算结果基本吻合,误差均控制在10%以内,说明理论计算公式具有一定的可靠性。

表6 模拟值与计算值的对比
Table 6 Comparison of simulated and calculated results

试件编号 模拟值/kN 计算值/kN 模拟值/计算值SPSW-2-A 394.5 383.2 1.029 SPSW-2-B 251.2 245.2 1.025 SPSW-2-C 554.8 517.4 1.072 SPSW-2-D 330.2 365.0 0.905 SPSW-2-E 408.2 384.4 1.062 SPSW-3-A 403.6 383.2 1.053 SPSW-3-B 265.5 245.2 1.083 SPSW-3-C 453.4 517.4 0.876 SPSW-3-D 379.6 365.0 1.040 SPSW-3-E 399.6 384.4 1.039

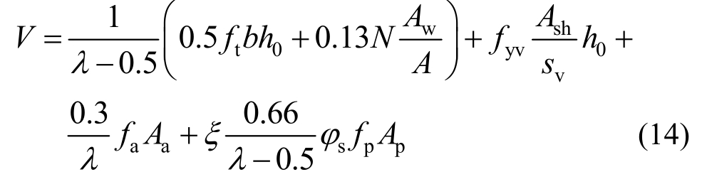
4.2 波形钢板-混凝土组合剪力墙抗剪承载力计算

本文在JGJ 138―2016《组合结构设计规范》[20]的基础之上,结合ABAQUS有限元软件计算结果,利用叠加原理得到波形钢板-混凝土组合剪力墙的抗剪承载力计算公式,计算过程如下:

Vc为钢筋混凝土剪力墙抗剪承载力,按式(11)计算:

式中:N为竖向轴压力,当N大于0.2fcbh时,取0.2fcbhA为剪力墙的截面面积;Aw为T形、I形截面剪力墙腹板的截面面积,矩形截面剪力墙取AAsh为配置在同一截面内的水平分布钢筋的全部截面面积;sv为水平分布钢筋的竖向间距;λ为计算剪跨比,当λ小于1.5时,取1.5,当λ大于2.2时,取λ=2.2;h0为截面有效高度;ft为混凝土抗拉强度设计值;fyv为水平钢筋的屈服应力。

Vs为型钢抗剪承载力,按式(12)计算:

式中:fa为型钢的屈服应力;Aa为型钢的截面面积。

Vp为波形钢板抗剪承载力,按式(13)计算:

式中:fp钢板的屈服应力;Ap为钢板的截面面积;φs为稳定系数,见式(6);ξ为折减系数,考虑水平波形钢板-混凝土剪力墙在水平荷载作用下易在墙趾位置形成塑性铰,对极限承载力不利,根据有限元计算结果拟合得到竖向波形钢板ξ =1,水平波形钢板ξ =0.6。

因此,得到波形钢板-混凝土组合剪力墙的抗剪承载力计算公式:

根据式(14)计算得到波形钢板-混凝土组合剪力墙的抗剪承载力,并将计算结果同有限元软件计算结果对比,见表7。从表中可以看出:通过计算公式得到结果与有限元软件计算结果基本吻合,误差均控制在10%以内,说明理论计算公式具有一定的可靠性。

表7 模拟值与计算值的对比
Table7 Comparison of simulated and calculated results

试件编号 模拟值/kN 计算值/kN 模拟值/计算值SPCSW-2-A 771.1 768.4 1.003 SPCSW-2-B 670 609.9 1.099 SPCSW-2-C 834.2 922.6 0.904 SPCSW-2-D 500 547.3 0.914 SPCSW-2-E 960 768.4 1.249 SPCSW-2-F 767.4 747.5 1.027 SPCSW-2-G 810.2 769.8 1.052 SPCSW-3-A 582.8 603.0 0.967 SPCSW-3-B 522.6 507.4 1.030 SPCSW-3-C 629.2 695.9 0.904 SPCSW-3-D 406.6 437.0 0.930 SPCSW-3-E 700 603.0 1.161 SPCSW-3-F 572.1 590.4 0.969 SPCSW-3-G 615.9 603.8 1.020

4.3 波形钢板-混凝土组合剪力墙的剪力分担率

根据式(11)、式(12)和式(13)可以计算出钢筋混凝土剪力墙、型钢、波形钢板的抗剪承载力,进而得到波形钢板-混凝土组合剪力墙的剪力分担率,如图12所示,从而为波形钢板-混凝土组合剪力墙提供设计依据。

图12 剪力分担率
Fig.12 Shear share ratio

从图12中可以看出:H型钢对波形钢板-混凝土组合剪力墙的抗剪承载力贡献最小,主要依靠钢筋混凝土剪力墙和内嵌钢板提供抗剪承载力,竖向波形钢板-混凝土组合剪力墙的钢筋混凝土和型钢的剪力分担率均低于内嵌钢板的分担率,而水平波形钢板-混凝土组合剪力墙的钢筋混凝土和型钢的剪力分担率与内嵌水平波形钢板基本相同。

4.4 理论计算结果与试验值对比

波形钢板剪力墙及其组合剪力墙的试验值与理论计算值的对比见表8。从表中可以看出:计算值与试验值基本吻合,误差值均控制在10%以内,具有一定的可靠性,可为设计和工程实际参考。

表8 试验值和计算值对比
Table 8 Comparison of experimental and calculated results

试件 试验值/kN 计算值/kN 试验值/计算值SPSW-2 369.1 383.2 0.963 SPSW-3 384.0 383.2 1.002 SPCSW-2 731.5 768.4 0.952 SPCSW-3 540.3 603.0 0.900

5 结论

(1) 波形钢板在水平荷载作用下,产生的拉压变形提高了墙体的变形能力,波形钢板能有效抑制混凝土裂缝的发展,并与混凝土具有很好的界面粘结力,有利于组合作用的发挥,此外,水平波形钢板剪力墙较易在约束边缘构件底部形成塑性铰。

(2) 波形钢板剪力墙及其组合墙滞回曲线呈饱满的梭形,骨架曲线为明显的S型,具有较好的承载能力、延性和耗能能力,且承载力下降缓慢。

(3) ABAQUS有限元软件能较好地模拟试验,模拟结果与试验结果吻合较好,有限元计算结果表明:承载力随波形钢板的厚度和波角的增加有少量增加,此外,波形钢板-混凝土组合剪力墙承载力随剪跨比的增加而降低,竖向波形钢板剪力墙的抗侧承载力性能与水平波形钢板剪力墙的基本相同。

(4) 波形钢板主要通过剪切屈服承担水平荷载,通过数值模拟得到的波形钢板剪力墙及其组合墙抗剪承载力计算公式,其计算值与试验值吻合良好,可为设计和工程实际参考。

(5) H型钢柱对波形钢板-混凝土组合剪力墙的抗剪承载力贡献最小,竖向波形钢板对波形钢板-混凝土组合剪力墙的剪力分担率大于水平波形钢板的分担率,竖向波形钢板更有利于提高组合墙的承载力性能。

参考文献:

[1]Berman J W.Seismic behavior of code designed steel plate shear walls [J].Engineering structures, 2010, 33(1): 230-244.

[2]Wang W, Wang Y, Lu Z.Experimental study on seismic behavior of steel plate reinforced concrete composite shear wall [J].Engineering Structures, 2018, 160(4): 281-292.

[3]Nie J G, Zhu L, Fan J S, et al.Lateral resistance capacity of stiffened steel plate shear walls [J].Thin-Walled Structures, 2013, 67(2): 155-167.

[4]聂建国, 卜凡民, 樊健生.高轴压比、低剪跨比双钢板-混凝土组合剪力墙拟静力试验研究[J].工程力学,2013, 30(6): 60-66, 76.Nie Jianguo, Bu Fanmin, Fan Jiansheng.Quasi-static test on low shear-span ratio composite shear wall with double steel plates and infill concrete under high axial compression ratio [J].Engineering Mechanics, 2013,30(6): 60-66, 76.(in Chinese)

[5]郭兰慧, 李然, 张素梅.薄钢板剪力墙简化分析模型[J].工程力学, 2013, 30(增刊1): 149-153.Guo Lanhui, Li Ran, Zhang Sumei.Simplified model of thin-walled steel plate shear walls [J].Engineering Mechanics, 2013, 30(Suppl 1): 149-153.(in Chinese)

[6]汤序霖, 丁昌银, 陈庆军, 等.带加劲肋多腔双层钢板-混凝土组合剪力墙的抗震性能试验[J].工程力学,2017, 34(12): 150-161.Tang Xulin, Ding Changyin, Chen Qingjun, et al.Seismic behavior of composite shear wall with double steel plates and infill concrete with stiffeners [J].Engineering Mechanics, 2017, 34(12): 150-161.

[7]郭彦林, 周明, 董全利.防屈曲钢板剪力墙弹塑性抗剪极限承载力与滞回性能研究[J].工程力学, 2009,26(2): 108-114.Guo Yanlin, Zhou Ming, Dong Quanli.Hysteretic behavior of buckling-restrained steel plate shear wall [J].Engineering Mechanics, 2009, 26(2): 108-114.(in Chinese)

[8]王威, 张龙旭, 苏三庆, 等.波形钢板剪力墙抗震性能试验研究[J].建筑结构学报, 2018, 39(5): 36-44.Wang Wei, Zhang Longxu, Su Sanqing, et al.Experimental research on seismic behavior of corrugated steel plate shear wall [J].Journal of Building Structures,2018, 39(5): 36-44.(in Chinese)

[9]FEMA.Nehrp recommended provisions and commentary for seismic regulations for new buildings and other structures [S].Washington DC: Federal Emergency Agency, 2003.

[10]Thorburn L J, Kulak G L, Montgomery C J.Analysis of steel plate shear walls [R].Canada: University of Alberta, 1983: 1-15.

[11]Yi J, Gil H, Youm K, et al.Interactive shear buckling behavior of trapezoid ally corrugated steel webs [J].Engineering Structures, 2008, 30(6): 1659-1666.

[12]GB/T 2975—1998, 钢及钢产品力学性能试验取样位置及试样制备[S].北京: 中国标准出版社, 1998.GB/T 2975—1998, The sampling position of mechanical properties of steel and steel products and the preparation of sample [S].Beijing: Standards Press of China, 1998.(in Chinese)

[13]邱法维.结构抗震实验方法进展[J].土木工程学报,2004, 37(10): 19-27.Qiu Fawei.Progress in structural seismic experimental methods [J].Journal of Civil Engineering, 2004, 37 (10):19-27.(in Chinese)

[14]韩清凯, 刘杰, 闻邦椿.不对称滞回模型的一般形式及其参数慢变特性[J].振动与冲击, 2000, 19(3): 14-16.Han Qingkai, Liu Jie, Wen Bangchun.The general form of asymmetric hysteretic model and slow varying characteristics [J].Journal of Vibration and Shock, 2000,19 (3): 14-16.(in Chinese)

[15]JGJ/T 380—2015, 钢板剪力墙技术规程 [S].北京:中国建筑工业出版社, 2016.JGJ/T 380—2015, Technical specification for steel plate shear wall [S].Beijing: China Architecture & Building Press, 2016.(in Chinese)

[16]王萌, 石永久, 王元清.考虑累积损伤退化的钢材等效本构模型研究[J].建筑结构学报, 2013, 34(10): 73-83.Wang Meng, Shi Yongjiu, Wang Yuanqing.Study on equivalent constitutive model of steel with cumulative degradation and damage [J].Journal of Building Structures, 2013, 34(10): 73-83.(in Chinese)

[17]张劲, 王庆扬, 胡守营, 等.ABAQUS混凝土损伤塑性模型参数验证[J].建筑结构, 2008,38(8): 127-130.Zhang Jin, Wang Qingyang, Hu Shouying, et al.Parameters verification of concrete damaged plastic model of ABAQUS [J].Building Structure, 2008 , 38(8):127-130.(in Chinese)

[18]聂建国, 王宇航.ABAQUS中混凝土本构模型用于模拟结构静力行为的比较研究[J].工程力学, 2013,30(4): 59-67, 82.Nie Jianguo, Wang Yuhang.Comparative study of constitutive model of concrete in ABAQUS for static analysis of structures [J].Engineering Mechanics, 2013,30(4): 59-67, 82.(in Chinese)

[19]Sabouri-Ghomi S, Ventura C E, Kharrazi M H K.Shear analysis and design of ductile steel plate walls [J].Journal of Structural Engineering, 2004, 131(6): 878-889.

[20]JGJ 138—2016, 组合结构设计规范[S].北京: 中国建筑工业出版社, 2016.JGJ 138—2016, Code for design of composite structures[S].Beijing: China Architecture & Building Press, 2016.(in Chinese)

RESEARCH ON THE SHEAR BEARING CAPACITY OF CORRUGATED STEEL PLATE SHEAR WALL AND COMPOSITE WALL

WANG Wei , LIU Ge-wei , SU San-qing , ZHANG Long-xu , REN Ying-zi , WANG Xin
(School of Civil Engineering, Xi'an University of Architecture & Technology, Xi'an, Shaanxi 710055, China)

Abstract: In order to study the failure pattern and mechanical behavior, and to develop shear bearing capacity calculation methods for corrugated steel plate (CSP) shear wall and CSP-composite wall under horizontal loads, 4 corrugated steel plate shear wall and CSP-composite wall specimens were designed and tested under low-cyclic reverse loading.24 corrugated steel plate shear wall and CSP-composite wall models were simulated using the ABAQUS finite element software.The results show that the corrugated steel plate shear wall has better deformability, the corrugated steel plate can effectively inhibit the development of concrete cracks, and has good bond stress with concrete.The horizontal corrugated steel plate shear wall is likely to develop a plastic hinge at the bottom of the constraining edge member.Corrugated steel plate shear wall and CSP-composite wall has good load bearing capacity, ductility and energy dissipation capacity, and load bearing capacity decreases slowly.ABAQUS finite element software can simulate the test well, the simulation results have good agreement with the test results, the finite element calculation results demonstrate that the shear bearing capacity increases with the increase of the thickness of the corrugated steel plate and the wave angle.In addition, the load bearing capacity of CSP-composite shear wall decreases with the increasing of the shear-span ratio.The lateral bearing capacity of the vertical corrugated steel plate shear wall is basically the same as that of the horizontal corrugated steel plate shear wall.The calculation formula for the bearing capacity of corrugated steel plate shear wall and CSP-composite wall proposed is in good agreement with the test results, and it can serve as a practical reference for design and engineering application in the future.The H-shaped steel column has slight contribution to the load bearing capacity of the CSP-composite shear wall.The vertical corrugated steel plate has a higher shear share ratio than the horizontal corrugated steel plate, and improves the shear bearing capacity of the CSP-composite wall significantly.

Key words: corrugated steel plate shear wall; wave angle; thickness of steel plate; hysteretic behavior;low-cycle reverse loading test; finite element analysis; formula of shear bearing capacity

中图分类号:TU398.2;TU392.4;TU317.1

文献标志码:A

doi: 10.6052/j.issn.1000-4750.2018.06.0356

文章编号:1000-4750(2019)07-0197-10

收稿日期:2018-06-30;修改日期:2018-09-08

基金项目:国家自然科学基金面上项目(51578449,51878548);陕西省自然科学基础研究计划重点项目(2018JZ5013)

通讯作者:王 威(1972―),男,陕西岐山人,教授,博士,主要从事结构工程研究(E-mail: wangwgh1972@163.com).

作者简介:

刘格炜(1994―),男,陕西西安人,硕士生,主要从事结构工程研究(E-mail: 573478023@163.com);

苏三庆(1961―),男,陕西户县人,教授,硕士,主要从事结构工程研究(E-mail: sussq@xauat.com);

张龙旭(1992―),男,陕西安康人,硕士生,主要从事结构工程研究(E-mail: 771956077@qq.com);

任英子(1994―),女,山西运城人,硕士生,主要从事结构工程研究(E-mail: renyingzi5962@163.com);

王 鑫(1992―),男,河南三门峡人,硕士生,主要从事结构工程研究(E-mail: 1311705189@qq.com).