纤维增韧轻骨料混凝土单轴受压应力-应变全曲线试验研究

魏 慧,吴 涛,杨 雪,刘 喜

(长安大学建筑工程学院,陕西,西安 710061 )

摘 要:为探究纤维增韧后轻骨料混凝土应力-应变全曲线,完成了不同混凝土强度等级、纤维种类及掺量下的9组棱柱体单轴受压试验,分析了破坏过程和破坏特征,系统研究了各因素对峰值应力、峰值应变和弹性模量的影响,并结合已有研究给出了各曲线特征点计算模型,考虑纤维轻骨料混凝土自身特征,建立了分段式纤维轻骨料混凝土应力-应变全曲线模型。研究表明:轻骨料混凝土破坏特征与普通混凝土显著不同,掺入纤维有效抑制了其内部微裂缝的开展,起到阻裂、增韧的效果,且随混凝土强度等级、纤维种类及掺量变化差异明显;纤维增韧后试件的应力-应变曲线下降段坡度趋于平缓,脆性得到有效改善;建议的应力-应变全曲线模型与试验结果吻合良好,能够准确描述纤维增韧轻骨料混凝土在单轴受压作用下的受力变形特征。

关键词:轻骨料混凝土;纤维增韧;峰值应力;弹性模量;应力-应变曲线模型

轻骨料混凝土作为一种高强轻质的绿色建筑材料,耐久性能高、抗冻性能好、保温隔热性能优,应用前景良好。但因内部吸返水特性和骨料强度影响,其脆性特征显著。我国轻骨料混凝土结构设计规程(JGJ 12―2006)[1]、美国ACI 318规范[2]均给出了在高烈度地震区使用的强度限制条件,即强度等级不宜超过LC40。掺入纤维能够有效改善轻骨料混凝土的脆性,起到阻裂、增韧的效果,但国内外对轻骨料混凝土单轴受压作用下应力-应变全曲线以及加入纤维后延性改善方面的研究资料相对偏少。而国内现有规范建议的轻骨料混凝土应力-应变全曲线模型主要基于七八十年代低强度的试验数据,缺乏强度提高后及掺入纤维改性的研究。因此,有必要开展高强轻骨料混凝土单轴受压作用下应力-应变全曲线的研究。

但因脆性问题,轻骨料混凝土应力-应变全曲线下降段较陡,难以量测。国外Wang等[3]改进以往的试验装置,弥补试验机本身刚度的不足,分别对21 MPa~77 MPa的普通混凝土和21 MPa~56 MPa的轻骨料混凝土单轴受压应力-应变全曲线进行了对比研究,结果表明:轻骨料混凝土上升段较缓,而下降段则较陡;国内叶列平等[4]完成LC30~LC55级轻骨料混凝土应力-应变全曲线的试验表明:轻骨料混凝土受压应力-应变曲线的下降段随着混凝土强度等级的提高而变陡,对于高强轻骨料混凝土,应力达到峰值点后,脆性特征明显,曲线表现为骤然下降,其中,LC50级未得到应力-应变曲线的下降段。基于此,本文开展了强度等级为LC40~LC60级轻骨料混凝土及掺入钢纤维、碳纤维后的应力-应变全曲线研究,并结合已有研究和轻骨料混凝土自身特性建立了理论全曲线模型。

1 试验概况

1.1 试件设计

为研究不同强度等级、纤维种类及掺量下轻骨料混凝土的单轴受压应力-应变全曲线,试验共设计了9组试件,其中素轻骨料混凝土包含LC40、LC50和LC60三个等级,采用碳纤维和钢纤维对LC60级轻骨料混凝土进行改性,纤维体积掺量分别为0.3%、0.6%和0.9%。各组制作3个100 mm×100 mm×300 mm棱柱体试件进行单轴受压应力-应变曲线试验,同时预留3个边长为100 mm立方体试块完成抗压强度测试,各试件在标准养护条件下养护28 d进行试验。

1.2 材料性能及配合比设计

为配制高强轻骨料混凝土,粗骨料选取宜昌光大生产的900级碎石型页岩陶粒,细骨料采用渭河中砂,基本性能见表1;纤维种类包含碳纤维和钢纤维,外观形貌及基本性能分别见图1和表2;其余辅助胶凝材料为埃肯牌EM920U微硅粉、Ⅰ级粉煤灰、S95矿粉和BKS―199聚羧酸高效减水剂等。借鉴高强轻骨料混凝土制备技术,参考《轻骨料混凝土技术规程》(JGJ 51―2002)[5],各组试件的具体配合比如表3所示。

表1 骨料基本性能
Table 1 Properties of aggregates used

骨料种类骨料粒径/mm表观密度/(kg/m3)堆积密度/(kg/m3)吸水率/(%)筒压强度/MPa页岩陶粒5~16 1512 860 2.2 6.9渭河中砂4 2620 1510 1.9 —

图1 纤维示意图
Fig.1 Photographs of the fibers used

表2 纤维性能指标
Table 2 Properties of fibers used

纤维种类密度/(kg/m3)长度/mm直径/um伸长率/(%)弹性模量/GPa抗拉强度/MPa钢纤维(SF)7800 13200 3.2 200 >3000碳纤维(CF)1760 6 7 1.8 240 >4000

1.3 试验装置及加载制度

试验在长春产YUL1000电液伺服万能试验机(可施加最大力为1000 kN)上进行,加载简图见图2。因脆性问题轻骨料混凝土应力-应变曲线下降段较陡,难以捕捉,尤其是强度提高后,试验过程对试验机和加载装置要求较高。文中为探寻高强轻骨料混凝土下降段,避免试件发生局部压坏、方便位移传感器的架设,于试件两端1/3范围内安装钢夹具,并将四个位移传感器对称固定于夹具四周,测量试件中部100 mm标距内的轴向变形。加载过程中,荷载值由设备自带力传感系统测量,轴向位移采用DH3820准静态数据采集系统量测,采样频率为10 Hz。加载速率为0.03 mm/min,待试件达到目标位移后停止加载。立方体抗压强度试验按照力控制进行加载,LC40、LC50级轻骨料混凝土试件的加载速率为6 kN/s,LC60级轻骨料混凝土试件的加载速率为10 kN/s,试验结果见表3。

表3 纤维轻骨料混凝土配合比方案和试验结果
Table 3 Mixture proportion and test results of fiber reinforced LWAC

注:以试件组别LC60-0.3C为例,其中LC代表轻骨料混凝土,60为混凝土强度等级,0.3代表纤维掺量为0.3%,C代表碳纤维(S代表钢纤维)。

组别 水胶比 材料用量/(kg/m3) 纤维体积率/(%) 立方体抗压强度f/MPa cu水泥 砂 陶粒 粉煤灰 硅灰水减水剂钢纤维碳纤维SF CF LC40 0.40 360 688 606 90 0 1802.6 — — — — 51.3 LC50 0.30 400 700 616 100 0 1504.0 — — — — 67.8 LC60 0.26 440 689 607 66 44 1435.5 — — — — 87.6 LC60-0.3C 0.26 440 685 604 66 44 1437 — 5.28 — 0.30 86.5 LC60-0.6C 0.26 440 680 599 66 44 1438.5 — 10.56 — 0.60 90.0 LC60-0.9C 0.26 440 676 596 66 44 14310 — 15.84 — 0.90 74.4 LC60-0.3S 0.26 440 686 604 66 44 1435.7 23.4 — 0.30 — 88.0 LC60-0.6S 0.26 440 683 602 66 44 1435.9 46.8 — 0.60 — 92.0 LC60-0.9S 0.26 440 680 599 66 44 1436.1 70.2 — 0.90 — 83.1

图2 应力-应变试验装置图
Fig.2 Set-up of stress-strain test

2 试验结果及分析

2.1 试验现象和破坏形态

与普通混凝土类似,轻骨料混凝土试件在单向轴压荷载作用下经历了弹性变形、内部裂缝开展、可见裂缝发展和破坏四个阶段,但在各阶段内的破坏机理和破坏现象与普通混凝土试件存在差别,具体试验现象如下:

1) 弹性变形阶段:加载初期,荷载与位移呈线性增长,试件处于弹性阶段,混凝土受力较小,仅存在因骨料和水泥结晶体压缩产生的弹性变形,内部初始微裂缝尚未形成,混凝土表面无明显变形特征。此时,由于纤维未发挥作用,各组试件的变形特征基本相似。

2) 内部裂缝开展阶段:随着荷载的增加,轻骨料混凝土内部逐渐出现轻脆的“噼啪”声,表明内部微裂缝逐渐形成,试件刚度开始降低。与普通混凝土不同,轻骨料混凝土的薄弱面不仅包含骨料与胶凝体的交界面,还存在于孔隙较多的骨料内部,致使轻骨料混凝土脆性明显。此时,纤维的掺入能够对轻骨料混凝土内部微裂缝的延伸开展起到一定缓和作用,故掺入纤维试件加载时伴随的“噼啪”声略微减小,但因边壁效应存在(即混凝土中骨料周围纤维的分布方向与骨料边壁平行),造成在内部裂缝开展阶段(即微裂缝仅在骨料周围分布,尚未向砂浆基体内部发展的情况),纤维对混凝土内微裂缝开展的抑制作用未能充分发挥。

3) 可见裂缝发展阶段:继续加载,混凝土内部细小微裂缝逐渐合并、连通,并延伸至胶凝体内部。当达到峰值荷载后,试件中部混凝土表面出现平行于受力方向的首条裂缝,并迅速延伸发展至贯通,同时裂缝数目明显增多,伴随有混凝土碎渣掉落。由于骨料强度较低,裂缝可直接贯穿骨料形成,故轻骨料混凝土的可见裂缝发展速率较普通混凝土明显提升。此时,对于掺入纤维的试件而言,穿过裂缝的纤维有效延缓了首条裂缝的形成,其阻裂作用得以充分发挥,使得裂缝发展速率减缓,随着纤维掺量的增多,试件中部混凝土剥落面减小,提升了高强轻骨料混凝土的延性。

4) 破坏阶段:当荷载降至60%~70%峰值荷载后,试件轴向变形不断增大,但承载力降低速率减缓,裂缝进一步发展形成的破坏带逐渐增宽,直至试件中部混凝土发生压溃破坏。相比普通混凝土,轻骨料混凝土破坏面处劈裂骨料数量较多,且骨料与胶凝体界面处存在较多裂缝。对于钢纤维轻骨料混凝土而言,该阶段内可听见明显的纤维拔出声,破坏面处纤维均匀散布于试件中,劈裂骨料数目相对减少,试件达目标位移时残余承载力较高。各组试件典型破坏形态如图3所示。

图3 试件典型破坏形态
Fig.3 Typical failure modes of specimens

2.2 应力-应变全曲线

单轴受压应力-应变全曲线的形状和特征反映着混凝土内部的受力情况,与试件破坏过程对应,曲线包含了四个阶段,以图4为例,各阶段曲线的变形特征如下:1) OA段:弹性变形阶段,应力与应变呈线性增长,曲线斜率反映试件的初始刚度,弹性模量较同强度等级普通混凝土略小;2) AB段:内部裂缝开展阶段,应力增长稳定而应变增大速率提升,曲线斜率逐渐降低,试件刚度退化;3) BC段:可见裂缝发展阶段,相比普通混凝土,轻骨料混凝土内部薄弱面增多,裂缝数量和发展速率增大,当达到峰值应力后,应力下降速率较快,脆性显著。4) CD段:残余强度阶段,随着应变继续增加,应力下降缓慢,试件承载力主要由裂缝间残余粘结力及摩阻力提供,约为峰值荷载的60%。各试件单轴受压应力-应变全曲线的特征点及立方体抗压强度试验结果见表4。

图4 典型试件应力-应变全曲线
Fig.4 Typical stress-strain curve of specimen

表4 应力-应变全曲线特征点及对比
Table 4 Summary and comparison of the feature points on the stress-strain curves

注:fcu为混凝土立方体抗压强度;fc′为混凝土圆柱体抗压强度;ε0.85为应力下降至0.85fc时的应变值;EcEp分别为应力达到0.4fcfc时试验曲线的割线斜率;ρd为混凝土干表观密度。

试件组别 f/MPa fc′/MPa 峰值应力cuf/MPa c峰值应变εc/(×10-6)极限应变ε0.85/(×10-6)初始弹性模量Ec/MPa割线E弹/M性P模a量ρd/(kg/m3)fcc/fce cc/cep εε Ecc/Ece LC40 51.3 41.0 49.8 2210 2621 28613 22545 1859 0.95 1.10 0.79 LC50 67.8 54.2 59.0 2478 2757 29557 23806 1874 1.06 1.17 0.86 LC60 87.6 70.1 80.8 3056 3273 32159 26437 1894 1.00 1.13 0.89 LC60-0.3C 86.5 69.2 61.9 3133 3919 33566 19747 1866 1.09 1.09 0.84 LC60-0.6C 90.0 72.0 65.0 3433 5528 34379 18926 1883 1.08 1.02 0.84 LC60-0.9C 74.4 59.5 60.3 3500 5521 29036 17235 1890 0.96 0.88 0.92 LC60-0.3S 88.0 70.4 78.5 3553 4289 32211 22101 1910 0.87 0.97 0.90 LC60-0.6S 92.0 73.6 65.5 3780 6589 32644 17316 1925 1.10 0.95 0.91 LC60-0.9S 83.1 66.4 67.3 3688 4643 32154 18262 1945 0.96 0.90 0.89均值 1.01 1.02 0.87方差 0.006 0.011 0.002

图5对比了不同强度等级和纤维掺量下轻骨料混凝土的应力-应变全曲线。结合表4和图5可知:1) 随着混凝土强度等级的提高,曲线上升段斜率增加,线弹性变形阶段延长,表现为初始弹性模量与峰值弹性模量的差值逐渐减小,峰值点对应的应变值明显增大,但曲线下降段斜率变陡,极限应变与峰值应变的差值较小,试件的脆性特征愈发明显(见图6)。2) 掺入碳纤维后,除LC60-0.3 C组外,其余组试件曲线形状相似,下降段坡度变缓,极限应变值显著增大,表明当碳纤维掺量取为0.6%~0.9%时能够有效提升试件延性。但碳纤维的掺入使得各组试件峰值应力均下降约20%~25%,主要原因是混凝土搅拌过程中,碳纤维易交织成团,阻碍气泡上浮,导致混凝土疏松不致密,同时纤维与混凝土交界面薄弱,易于裂缝的发展,从而降低了混凝土的抗压强度。3) 钢纤维的掺入对试件曲线上升段形状无显著影响,仅峰值割线模量值随钢纤维体积掺量的增大而减小。当钢纤维掺量为0.6%时,试验曲线下降段坡度最为平缓,峰值应变和极限应变分别较LC60组试件提高了23.69%和101.31%,表明该掺量下轻骨料混凝土的脆性改善最为明显。与掺碳纤维的试件相似,掺入钢纤维后,各组试件峰值应力均有所降低,但降低幅度约为3%~19%。

图5 轻骨料混凝土应力-应变全曲线对比
Fig.5 Comparison of the stress-strain curves for LWAC

综上所述,碳纤维和钢纤维的掺入均对轻骨料混凝土的增韧和阻裂效果明显,显著改善了轻骨料混凝土在单轴受压荷载作用下的韧性特征,且钢纤维的改善效果优于碳纤维,但重量增加。

图6 各因素对峰值应变和极限应变点的影响
Fig.6 Effect of influence factors on εcandε0.85

2.3 峰值应力

图7给出了轻骨料混凝土轴心抗压强度与立方体抗压强度的关系。由图可见,未掺纤维情况下,轻骨料混凝土的棱柱体轴心抗压强度随立方体抗压强度的变化趋势基本一致,比值fc/fcu为0.870~0.971,稍高于普通混凝土的强度比值(约0.7~0.92)。掺入纤维后,轻骨料混凝土的轴心抗压强度与立方体抗压强度的变化趋势明显不同。碳纤维轻骨料混凝土的强度比值随纤维掺量的增加逐渐增大,约为0.716~0.810,而钢纤维轻骨料混凝土的强度比值随纤维掺量的增加呈先减小后增大趋势,约为0.712~0.892,与普通混凝土的比值相近。

为得到准确的轻骨料混凝土轴心抗压强度与立方体抗压强度的转换关系,在本文试验基础上,收集了52组素轻骨料混凝土和49组纤维轻骨料混凝土试验数据,根据图8中强度的线性变化趋势,回归分析得到轻骨料混凝土的强度换算关系:

图7 轴心抗压强度与立方体抗压强度的比值
Fig.7 The ratio of prism compressive strength to cube compressive strength of LWAC

对于素轻骨料混凝土:

对于纤维轻骨料混凝土:

图8 轻骨料混凝土fcfcu的关系
Fig.8 Relationship between fc and fcu of LWAC specimens

上述回归式(1)和式(2)的拟合度R2分别为0.96和0.92(见图8),预测结果与拟合数据点吻合良好,应用该公式对本文试件的轴心抗压强度进行计算,得到计算值与试验值的比值如表4所示,均值和方差分别为1.01和0.006,预测结果的准确性满足要求。

2.4 峰值应变

峰值应变作为混凝土单轴受压本构模型的关键参数之一,主要受混凝土强度、截面尺寸、加载速率和约束条件等因素影响。因轻骨料混凝土自身弹性模量较小,相同强度等级下的峰值应变较普通混凝土大,因此,已有的普通混凝土峰值应变计算公式不再适用。本文收集了150组轴压荷载作用下轻骨料混凝土试验数据[3,20―33],考虑其峰值应变与混凝土强度存在线性关系,通过回归分析得到峰值应变计算公式如下:

式中,′为混凝土圆柱体抗压强度,据文献[32]建议取为0.8fcu(100),该公式计算结果的拟合度见图9。

将式(3)用于本文试件峰值应变的预测,得到计算值与试验值的比值见表4,由表可知,各试件比值的均值和方差分别为1.02和0.011,计算值与试验值基本吻合,且上述公式计算简便,可满足实际工程的适用性。

图9 峰值应变计算模型准确性评估
Fig.9 Evaluation of the peak strain model for LWAC

2.5 弹性模量

由实测轻骨料混凝土应力-应变曲线得到各组试件的初始弹性模量如表4所示,可知掺入纤维在一定程度上可提高轻骨料混凝土的弹性模量,但纤维含量过高将导致混凝土与纤维粘结性能减弱,从而降低试件的弹性模量,例如LC60-0.9C和LC60-0.9S组试件。

已有研究表明,轻骨料混凝土的弹性模量受混凝土强度和湿表观密度等因素影响显著,而试件截面尺寸、养护方式等对弹性模量影响较小。基于此,本文收集了国内外素轻骨料混凝土和纤维轻骨料混凝土试验数据共842组,通过对大数据回归分析得到弹性模量计算公式:

式中,ρcf为混凝土湿表观密度,采用文献[32]建议取0.91ρd+344.1。式(4)适用于fc′≤90 MPa且689 kg/m3ρcf≤2291 kg/m3的轻骨料混凝土,其预测结果的拟合度见图10,由图可知,建议公式能够较为准确地预测轻骨料混凝土的弹性模量。

应用式(4)对本文试件的弹性模量进行预测,结果与试验值的对比见表4,可见比值的均值和方差分别为0.87和0.002,表明预测值与试验值吻合良好,该公式能够准确预测轻骨料混凝土弹性模量。

3 纤维轻骨料混凝土单轴受压应力-应变全曲线模型

3.1 现有模型比较

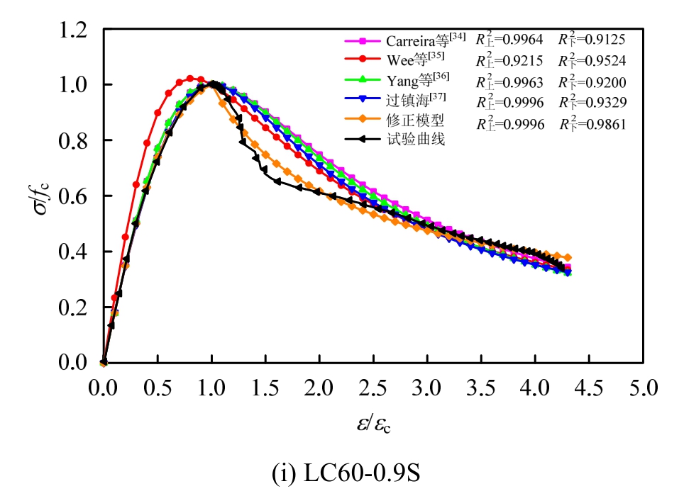
近年来,国内外学者对轻骨料混凝土的力学性能开展了广泛而深入的研究,但对单轴受压本构模型的研究资料仍比较欠缺,难以准确描述轻骨料混凝土的破坏特征,计算结果存在安全隐患。结合4种混凝土单轴受压应力-应变全曲线模型,包括Carreira J模型、Wee TH模型、Yang KH模型和过镇海模型,采用MATLAB软件并结合本文试验和理论分析结果对各试件应力-应变曲线进行拟合,模拟结果及关键参数见表5。

表5 现有混凝土轴压应力-应变全曲线模型
Table 5 Review of the stress-strain models for concrete under compression

文献 拟合计算式 特征点取值 关键参数取值Carreira J模型[34]yxβ=-+βx E=f′13 c c 10200()x=ε/εc,y=fc/fc′β1ε=+×-5 c (0.71168)10 f′c β=1/[1(/)]-fE ccc′ε E=f′β=1/[1(/)]10200()-fE ccc ykx kxβ′ε Wee TH模型[35]=-+1β 13 c c 11k β 2 ε=14 c c 0.00078(f)′当fc′≤50 MPa时,k1=k2=1;当50 MPa≤fc′≤120 MPa时,k1=(50/fc′)3,k2=(50/fc′)1.3。E=f′w 8470()(2300)Yang KH模型[36]y(+1)x xβ+1=+β 131.17 c cc 上升段:0.671.17 β=0.20exp[0.73(10/)(/2300)]1 ε=0.0016exp[240(fE)]fw cc cc 1′0 β′1 1 ε}1.75 0.5cc=0.0035exp[1.2(10/)(/2300)]{fw′下降段:0.671.17 β=0.41exp[0.77(10/)(/2300)]1 fw c ′c过镇海模型[37]上升段:yaxaxax=+-+-下降段:(32)(2)2 3 ybxx=-+x(1)2— 参数a为初始弹性模量与割线弹性模量的比值;参数b根据混凝土强度等级和约束方式确定。

图10 弹性模量计算模型准确性评估
Fig.10 Evaluation of the elastic modulus model for LWAC

图11为各试件实测与模拟应力-应变全曲线的对比。由图11(a)~图11(c)可知,Yang KH模型和过镇海模型拟合结果与试验曲线上升段吻合良好,而Carreira J模型和Wee TH模型高估了曲线上升段斜率。对于曲线下降段而言,不同模型拟合结果的吻合程度差异较大,其中Wee TH模型与过镇海模型拟合效果相当,Yang KH模型次之,Carreira J模型最差。由图11(d)~图11(f)可见,各模型拟合结果与碳纤维掺量为0.6%和0.9%的轻骨料混凝土试验曲线吻合良好,相关系数均大于0.96。但对于碳纤维掺量为0.3%的试件,各模型对曲线下降段的拟合效果差异显著,其中过镇海模型拟合效果较好,而Carreira J模型拟合效果最差。根据图11(g)~图11(i)可知,Wee TH模型略高估了掺入钢纤维后轻骨料混凝土应力-应变曲线的上升段斜率,但对曲线下降段的拟合效果最佳,相关系数大于0.9272。

图11 各模型拟合曲线与试验曲线对比
Fig.11 Comparison between the theoretical and experimental curves

3.2 应力-应变全曲线模型修正

结合纤维轻骨料混凝土自身特点,对已有模型相关参数进行修正,建立了修正的分段式轻骨料混凝土应力-应变全曲线模型,上升段采用过镇海模型,下降段采用Wee TH模型,即能够简化曲线上升段的计算,同时能较好地描述曲线下降段的变形特征,修正模型表达式如下:

上升段:

下降段:

其中:xyβ均按表5取值;峰值应变εc按式(3)计算;初始弹性模量Ec按式(4)计算。

根据参数ak1k2与峰值应力、纤维种类及掺量的关系进行修正,通过回归分析确定各参数的计算式如表6所示。

表6 修正模型相关参数计算
Fig.6 Calculation of parameters in modified stress-strain model for LWAC

注:表中r为纤维体积掺量。

材料种类 上升段 下降段素轻骨料混凝土k=3.062 1 c(37.15/)f k=1.544 2 c(41.25/)f碳纤维轻骨料混凝土=+-钢纤维轻骨料混凝土aEE-=1.797/1.264krf 1=+-1.3430.1086.811 c cp krf 20.7150.0482.538 c krf 1=--0.2200.017+1.758 c krf 2=+-0.2990.0140.505 c

根据上述修正模型拟合得到的轻骨料混凝土应力-应变曲线见图11。由图可知,修正模型拟合曲线与试验曲线吻合良好,曲线上升段与下降段拟合相关系数均高于0.98,因此,建议模型能够准确描述纤维轻骨料混凝土单轴受压作用下的应力-应变全曲线关系。但由于不同骨料类型、不同纤维类型及掺量对轻骨料混凝土力学性能的影响差异较大,该模型是否普遍适用仍需进一步分析和验证。

4 结论

(1) 纤维轻骨料混凝土在单轴受压荷载作用下的破坏过程主要包括弹性变形阶段、内部裂缝开展阶段、可见裂缝发展阶段和破坏阶段,但各阶段内变形特征与普通混凝土存在明显区别,且随混凝土强度等级、纤维种类及掺量的不同而差异显著,但碳纤维和钢纤维的掺入对轻骨料混凝土的阻裂、增韧效果明显,有效提升了试件的延性。

(2) 随混凝土强度等级的提高,轻骨料混凝土峰值应力、峰值应变和弹性模量均得到明显提高;掺入纤维使得轻骨料混凝土的强度略有降低,弹性模量未显著提升,但试件的脆性得到有效改善,且钢纤维的改善效果优于碳纤维,当钢纤维掺量为0.6%或者碳纤维掺量为0.6%~0.9%时,纤维轻骨料混凝土应力-应变曲线下降段坡度明显平缓。

(3) 考虑不同混凝土强度等级、纤维种类及掺量对轻骨料混凝土峰值应力、峰值应变和弹性模量的影响,在试验数据分析的基础上,分别建立了峰值应力、峰值应变和弹性模量计算模型,并应用本文试验结果验证了各模型的准确性。

(4) 基于已有的半经验半理论混凝土本构模型,结合纤维轻骨料混凝土的自身特点,建立了修正的分段式应力-应变全曲线表达式,模型拟合结果与试验曲线吻合良好,能够准确描述纤维轻骨料混凝土在单轴受压荷载作用下的变形特征。

参考文献:

[1]JGJ 12-2006, 轻骨料混凝土结构技术规程[S].北京:中国建筑工业出版社, 2006.JGJ 12―2006, Technical specification for lightweight aggregate concrete structures [S].Beijing: China Architecture & Building Press, 2006.(in Chinese)

[2]ACI Committee 318, Building code requirement for structural concrete (ACI 318―14) and commentary (ACI 318R―14), American Concrete Institute, 2014.

[3]Wang P T, Shah S P, Naaman A E.Stress-strain curves of normal and lightweight concrete in compression [C]//ACI Journal Proceedings,1978, 75(11): 603―611.

[4]叶列平, 孙海林, 陆新征, 等.高强轻骨料混凝土结构性能、分析与计算[M].北京: 科学出版社, 2009: 1―4.Ye Lieping, Sun Hailin, Lu Xinzheng, et al.High-strength lightweight reinforced concrete structure performance、analysis and calculation [M].Beijing:Science Press, 2009: 1―4.(in Chinese)

[5]JGJ 51-2002, 轻骨料混凝土技术规程[S].北京: 中国建筑工业出版社, 2002.JGJ 51―2002, Technical specification for lightweight aggregate concrete [S].Beijing: China Architecture &Building Press, 2002.(in Chinese)

[6]李平江, 刘巽伯.高强页岩陶粒混凝土的基本力学性能[J].建筑材料学报, 2004, 7(1): 113―116.Li Pingjiang, Liu Xunbo.Fundamental mechanical properties of concrete with high strength expanded shale[J].Journal of Building Materials, 2004, 7(1): 113―116.(in Chinese)

[7]叶家军.高强轻集料混凝土构件优化设计与性能研究[D].武汉: 武汉理工大学, 2005.Ye Jiajun.Optimization design and performance study of high-strength lightweight aggregate concrete members[D].Wuhan: Wuhan University of Technology, 2005.(in Chinese)

[8]程智清.高性能页岩轻集料混凝土试验研究[D].长沙: 中南大学, 2007.Cheng Zhiqing.Experimental study on high performance lightweight aggregate concrete with expanded shale [D].Changsha: Central South University, 2007.(in Chinese)

[9]程领.LC50轻骨料混凝土配合比设计及性能研究[D].长沙: 长沙理工大学, 2013.Cheng Ling.Design of mixture proportions and study on performance of LC50 lightweight aggregate concretes[D].Changsha: Changsha University of Science &Technology, 2013.(in Chinese)

[10]陈岩.高强轻骨料混凝土配合比设计及性能研究[D].长春: 吉林大学, 2007.Chen Yan.Mix design and performance study of high-strength lightweight aggregate concrete [D].Changchun: Jilin University, 2007.(in Chinese)

[11]喻骁.高强页岩陶粒制备及其混凝土性能研究[D].重庆: 重庆大学, 2004.Yu Xiao.Research on high-strength shale aggregate's preparation and property for aggregate concrete [D].Chongqing: Chongqing University, 2004.(in Chinese)

[12]李文斌.陶粒轻集料高性能混凝土的试验研究[D].西安: 西安建筑科技大学, 2012.Li Wenbin.Research on the light-weight haydite aggregate concrete [D].Xi'an: Xi'an University of Architecture and Technology, 2012.(in Chinese)

[13]曲树强.粉煤灰陶粒混凝土力学性能与板的受力性能试验研究[D].包头: 内蒙古科技大学, 2012.Qu Shuqiang.Experimental study on the mechanical properties of fly ash ceramic concrete and slab [D].Baotou: Inner Mongolia University of Science and Technology, 2012.(in Chinese)

[14]张爱军.钢纤维轻骨料混凝土物理力学性能及韧性的试验研究[D].呼和浩特: 内蒙古农业大学, 2008.Zhang Aijun.Experimental study on the mechanical properties of steel fiber reinforced lightweight aggregate concrete [D].Huhhot: Inner Mongolia Agricultural University, 2008.(in Chinese)

[15]陈连发, 陈悦, 李龙, 等.高性能轻集料混凝土的力学性能研究[J].硅酸盐通报, 2015, 34(10): 2822―2828.Chen Lianfa, Chen Yue, Li Long, et al.Mechanical property of high performance lightweight aggregate concrete [J].Bulletin of the Chinese Ceramic Society,2015, 34(10): 2822―2828.(in Chinese)

[16]曾志兴.钢纤维轻骨料混凝土力学性能的试验研究及损伤断裂分析[D].天津: 天津大学, 2003.Zeng Zhixin.Experimental study on the mechanical properties of steel fiber reinforced lightweight aggregate concrete [D].Tianjin: Tianjin University, 2003 (in Chinese)

[17]沈泽.钢纤维轻骨料粉煤灰混凝土基本力学性能试验研究[D].郑州: 华北水利水电大学, 2015.Shen Ze.Experimental study on basic mechanical properties of steel fiber reinforced lightweight fly-ash concrete [D].Zhengzhou: North China University of Water Resources and Electric Power, 2015.(in Chinese)

[18]徐丽丽.纤维轻骨料混凝土力学性能及微观结构试验研究[D].呼和浩特: 内蒙古农业大学, 2012.Xu Lili.Study of fiber lightweight aggregate concrete mechanical properties and microstructure experimental[D].Huhhot: Inner Mongolia Agricultural University,2012.(in Chinese)

[19]王海龙.轻骨料混凝土早期力学性能与抗冻性能的试验研究[D].呼和浩特: 内蒙古农业大学, 2009.Wang Hailong.The study on early mechanics and frost resistance of lightweight aggregate concrete [D].Huhhot:Inner Mongolia Agricultural University, 2009.(in Chinese)

[20]Ahmad S H, Shah S P.Complete triaxial stress-strain curves for concrete [J].Journal of the Structural Division, ASCE, 1982, 108(4): 728―742.

[21]Smeplass S.High strength concrete: mechanical properties-Iwa Concretes [R].Trondheim: SINTEF,1992: 45―53.

[22]Slate F O, Nilson A H, Martinez S.Mechanical properties of high-strength lightweight concrete [C]//ACI Journal Proceedings, 1986, 83(4): 606―613.

[23]Tasdemir M A.Elastic and inelastic behaviour of structural lightweight aggregate concretes [D].Istanbul:Istanbul Technical University, 1982.

[24]Ahmad S H, Shah S P.Behavior of hoop confined concrete under high strain rates [C]// ACI Journal Proceedings, 1985, 82(5): 634―647.

[25]Almusallam T H, Alsayed S H.Stress-strain relationship of normal, high-strength and lightweight concrete [J].Magazine of Concrete Research, 1995, 47(170): 39―44.

[26]Yildirim H.Effects of composition on the mechanical behaviour of semi-lightweight concretes under cyclic loading conditions [D].Istanbul: Istanbul Technical University, 1989.

[27]Cui H Z, Lo T Y, Memon S A, et al.Experimental investigation and development of analytical model for pre-peak stress–strain curve of structural lightweight aggregate concrete [J].Construction and Building Materials, 2012, 36(11): 845―859.

[28]Kayali O, Haque M N, Zhu B.Some characteristics of high strength fiber reinforced lightweight aggregate concrete [J].Cement and Concrete Composites, 2003,25(2): 207―213.

[29]Richart F E, Jensen V P.Tests of plain and reinforced concrete made with haydite aggregates [R].Illinois:University of Illinois at Urbana-Champaign in cooperation with the Western Brick Company, 1931:67―82.

[30]Shah S P, Naaman A E, Moreno J.Effect of confinement on the ductility of lightweight concrete [J].International Journal of Cement Composites and Lightweight Concrete, 1983, 5(1): 15―25.

[31]Shannag M J.Characteristics of lightweight concrete containing mineral admixtures [J].Construction and Building Materials, 2011, 25(2): 658―662.

[32]Zhang M H, Gjvorv O E.Mechanical properties of high-strength lightweight concrete [J].ACI Materials Journal, 1991, 88(3): 240―247.

[33]Kaar P H, Hanson N W, Capell H T.Stress-strain characteristics of high-strength concrete [J].ACI Structural Journal, 1978, 55: 161―186.

[34]Carreira D J, Chu K H.Stress-strain relationship for plain concrete in compression [J].ACI Journal, 1985, 82(6):797―804.

[35]Wee T H, Chin M S, Mansur M A.Stress-Strain relationship of high-strength concrete in compression [J].Journal of Materials in Civil Engineering, 1996, 8(2):70―76.

[36]Yang K H, Mun J H, Cho M S, et al.Stress-strain model for various unconfined concretes in compression [J].ACI Materials Journal, 2014, 111(4): 673―685.

[37]过镇海, 张秀琴, 张达成, 等.混凝土应力-应变全曲线的试验研究[J].建筑结构学报, 1982, 3(1): 3―14.Guo Zhenghai, Zhang Xiuqin, Zhang Dacheng, et al.Experimental investigation of complete stress-strain curve of concrete [J].Journal of Building Structures,1982, 3(1): 3―14.(in Chinese)

EXPERIMENTAL STUDY ON STRESS-STRAIN RELATIONSHIP OF FIBER REINFORCED LIGHTWEIGHT AGGREGATE CONCRETE

WEI Hui , WU Tao , YANG Xue , LIU Xi
(School of Civil Engineering, Chang'an University, Xi'an, Shaanxi 710061, China)

Abstract: An experimental study of nine-group prism specimens with different concrete strength, fiber type and fiber dosage has been carried out to understand the stress-strain relationship of fiber reinforced lightweight aggregate concrete (LWAC) under axial compression load.Failure process and failure characteristics of the specimens were analyzed, and the effect of test variables on the peak stress, peak strain and elastic modulus were studied.Combining with the existing research, calculation formulas of the feature points on test curves were derived.Simultaneously, a segment-based stress-strain model was proposed considering the characteristics of fiber reinforced LWAC.Test results indicate that the failure characteristics of LWAC are significantly different from that of the normal weight concrete.Incorporating fibers into LWAC can effectively restrict the formation of internal micro-cracks, resulting in a prominent crack-resisting and enhancing toughness effect.But these benefits varied slightly with the test variables such as concrete strength, fiber type and fiber dosage.Combining fibers with LWAC can also effectively flatten the decreasing slope of stress-strain curves and improve the brittleness of LWAC.Simulation results obtained from the proposed stress-strain model agree well with the test results, which indicates that this proposed model can accurately describe the axial compressive behavior of fiber reinforced LWAC.

Key words: lightweight aggregate concrete; fiber reinforced; peak stress; elastic modulus; stress-strain curve model

中图分类号:TU528.572

文献标志码:A

doi: 10.6052/j.issn.1000-4750.2018.04.0191

文章编号:1000-4750(2019)07-0126-10

收稿日期:2018-04-02;修改日期:2018-08-31

基金项目:国家自然科学基金项目(51878054,51578072,51708036);陕西省自然科学基金项目(2017JQ5092);中央高校基本科研业务费项目(300102288401)

通讯作者:吴涛(1976―),男,安徽霍山人,教授,工学博士,院长,从事工程结构抗震性能研究(E-mail: wutao@chd.edu.cn).

作者简介:

魏慧(1990―),女,新疆巴楚人,讲师,工学博士,从事工程结构抗震性能研究(E-mail: weihuichd@163.com);

杨雪(1994―),女,陕西西安人,博士生,从事钢筋混凝土结构抗震研究(E-mail: ms_yangxue@163.com);

刘喜(1986―),男,陕西延安人,副教授,工学博士,从事工程结构抗震性能研究(E-mail: lliuxii@163.com).