钛-钢复合钢材力学性能及本构模型研究

班慧勇1,白日升2,刘 明3,李文斌3,白 音2

(1.土木工程安全与耐久教育部重点实验室,清华大学土木工程系,北京 100084;2.北京航空航天大学交通科学与工程学院,北京 100191;3.鞍钢股份有限公司,辽宁,鞍山 114009)

摘 要:为系统研究钛-钢复合钢材的力学性能,对2 mm~12 mm厚TA2+Q235B钛-钢复合钢材进行了系列试验研究,包括拉伸、剪切、粘结、弯曲、冲击韧性、硬度等试验,其中拉伸试件设计考虑了复合比的影响。基于试验结果,得到了该类钛-钢复合钢材的基本力学性能指标,并重点对其单调拉伸荷载下的力学性能进行了分析研究。试验结果表明:钛-钢复合钢材的应力-应变曲线特征及典型力学性能指标与复合比的大小直接相关;随着复合比的增大,屈服平台逐渐消失,弹性模量逐渐减小,屈服强度和断后伸长率逐渐升高,但抗拉强度的变化并不明显,这与钛TA2和Q235B低碳钢本身的力学性能有关。基于拉伸试验数据和有限元数值计算结果,提出了钛-钢复合钢材的力学指标计算方法,建立了其本构模型。此外,剪切和粘结试验得到的复合界面强度尽管较低,但对拉伸力学性能影响十分有限;同时,该类复合钢材的受弯和冲击性能良好,硬度结果呈现两侧高、中间界面层低的情况。研究结果可为钛-钢复合钢材在结构工程领域的研究和应用提供基础参考和材料本构模型,并有利于促进其工程应用。

关键词:钛-钢复合钢材;试验研究;复合比;有限元;本构模型

钛-钢复合板是一种通过热轧或爆炸复合工艺[1]把低碳钢和钛合金两种金属材料结合在一起的新型复合钢板[2],既具有低碳钢良好的可焊性、成形性、导热性及较好的力学性能,又具有钛合金优良的低温韧性和耐腐蚀性能[3]

尽管钛-钢复合钢材的生产工艺已较为成熟,我国也有相应的产品标准[4],并广泛应用于能源、石油、化工等行业[5],但国内外相关的研究仍处于起步阶段,且主要集中在钛-钢复合钢材的生产工艺和界面微观组织[6]等方面。段文森等[7]研究了通过爆炸复合工艺制造的钛-钢复合板的剪切疲劳行为、断裂机理和断裂韧性。杨扬[8]在TEM下直接观察和研究了TA2+A3钛-钢复合界面结合层内的微观组织结构,并建立了相关模型。复合钢材的相关力学性能研究有限[9-10],而相关研究工作对其在结构工程领域的实际应用,如海洋工程钢结构、化工设备钢结构及其他高腐蚀环境下的钢结构,具有重要意义,而目前针对高性能钢材力学性能的研究主要针对高强钢和不锈钢等[11-12]

本文以TA2+Q235B钛-钢复合钢板为研究对象,通过拉伸、剪切、粘结、弯曲、冲击、硬度、金相和扫描等试验和检测方法对其力学性能和微观组织进行了分析;重点研究单调拉伸荷载下,复合比对弹性模量、屈服强度、抗拉强度和断后伸长率等力学指标的影响,并基于试验结果和有限元计算,提出相应的力学指标计算方法,建立对应的本构模型。研究成果将为钛-钢复合钢材在构件层面力学性能的研究提供基础。

1 试验概况

本文的研究对象为采用热轧复合工艺生产的TA2+Q235B钛-钢复合钢材,复层为名义厚度2 mm的TA2[13],基层为名义厚度10 mm的Q235B,化学成分见表1,符合相关标准的规定[13-14]

表1 基层Q235B和复层TA2化学成分 /(%)
Table 1 Chemical composition of TA2+Q235B

材料C MnSiP S N H OFeTi Q235B0.180.500.160.0140.0063 — — — Bal.—TA20.010— — — — 0.010 0.0035 0.120.10Bal.

1.1 拉伸试验

标准拉伸试件采用线切割从母材上取样,尺寸参考《金属材料拉伸试验 第1部分:室温试验方法》GB/T 228.1―2010[15]确定,如图1所示,试件照片见图2。试件平行段长度名义值为95 mm,宽20 mm;共设计5组不同复合比(指复层厚度与总厚度的比值[16])的试件,分别为0/10、2/12、2/7、2/4、2/2,每组3个,共计15个标准拉伸试件。试件的实测尺寸数据见表2,其中试件编号的含义,以TC-10-2-1为例,TC代表拉伸试件,10 mm为基层低碳钢厚度,2 mm为复层钛的厚度,1表示该组的第一个试件。

拉伸试验按照《金属材料拉伸试验 第1部分:室温试验方法》GB/T 228.1―2010[15]进行。加载装置采用Zwick万能材料试验机,最大加载力为100 kN,试验装置如图3(a)所示。加载速率在屈服前控制在6 N/s~60 N/s,屈服后增加到不大于0.008 s-1。应变采用引伸计监测,如图3(b)所示,标距设置为80 mm,引伸计测量可跟踪至试件断裂。

图1 拉伸试件的几何尺寸 /mm
Fig.1 Geometry of specimens

图2 拉伸试件照片
Fig.2 Photo of specimen

表2 试件的实测尺寸
Table 2 Measured dimensions of specimens

试件编号钛合金厚度/mm总厚度/mm实测复合比平行段宽度/mm原始标距/mm TC-10-0-1 0.00 9.72 0.00 20.12 80 TC-10-0-2 0.00 9.73 0.00 20.07 80 TC-10-0-3 0.00 9.74 0.00 20.08 80 TC-10-2-1 2.08 12.17 0.17 20.07 85 TC-10-2-2 2.21 12.01 0.18 20.22 85 TC-10-2-3 2.21 12.03 0.18 20.08 85 TC-5-2-1 2.14 7.29 0.29 20.10 70 TC-5-2-2 2.09 7.39 0.28 20.07 70 TC-5-2-3 2.34 7.36 0.32 20.05 70 TC-2-2-1 2.30 4.29 0.54 20.09 50 TC-2-2-2 2.15 4.60 0.47 20.07 50 TC-2-2-3 2.25 4.60 0.49 20.03 50 TC-0-2-1 2.03 2.03 1.00 20.12 35 TC-0-2-2 2.11 2.11 1.00 20.09 35 TC-0-2-3 2.08 2.08 1.00 20.09 35

图3 拉伸试验装置
Fig.3 Tension coupon test setup

1.2 其他试验

剪切试验是为得到钛-钢复合板复合界面切线方向强度,试件尺寸要求见《复合钢板力学及工艺性能试验方法》GB/T 6396―2008[16],试件的设计尺寸及实物如图4所示。试验装置如图5所示。

图4 剪切试验试件
Fig.4 Specimen for shear tests

图5 剪切试验装置
Fig.5 Shear test setup

粘结试验是为得到钛-钢复合板复合界面法线方向强度,试件尺寸要求见《复合钢板力学及工艺性能试验方法》[16],具体尺寸如图6(a)所示,试验装置见图6(b)。

图6 粘结试验试样
Fig.6 Bonding test specimen

此外,依据《金属材料弯曲试验方法》GB/T 232―2010[17]进行了弯曲试验,包括外弯、内弯和侧弯,试件的设计尺寸及实物如图7所示,弯曲半径取25 mm,弯曲角度取180°;依据《金属材料夏比摆锤冲击试验方法》GB/T 229―2007[18]进行了标准V型缺口试件夏比冲击韧性试验;制作10 mm×10 mm×10 mm的正方体小块进行硬度测量,测量范围包括基层、过渡层和复层。

图7 弯曲试验试件
Fig.7 Specimens for bending tests

2 拉伸试验结果和分析

2.1 破坏模式

从宏观和微观两个方面分析试件的破坏特征。宏观上,在加载初期,试件没有明显变形;当荷载到达峰值并开始下降后,试件中部出现颈缩现象;试件最终破坏时刻出现两次响声,第一次伴随复合界面分离,第二次伴随试件完全拉断,如图8所示,且二者相继发生,可以认为该复合钢材的复层和基层在拉伸全过程能够保持共同协同工作。所有试件断口形状特征接近,见图9所示,且有横向弯曲变形,可能是板件热轧残余应力释放引起。复合界面层开裂的原因是,两种材料抵抗塑性变形的能力不同,当各自由于塑性变形形成颈缩产生的垂直应力大于基、复层之间的结合强度时,便会发生开裂现象。

图8 试件破坏过程示意图
Fig.8 Failure process of tension coupons

图9 拉伸试件宏观断口形态
Fig.9 Fracture details of tension coupons

微观上,对典型拉伸试件TC-5-2-1的断口复合界面分层附近进行电镜扫描,所得的微观形态照片见图10。由图可知,试件复合界面区域裂缝两侧材料微观相貌相近,表明该TA2+Q235B复合钢材的两种金属材料在一定程度上达到了冶金结合,但由于二者化学成分区别显著,结合强度有限。

图10 TA2+Q235B试件复合界面分层处扫描电镜照片
Fig.10 SEM image of delamination region after tension test of TC clad steel

2.2 应力-应变曲线

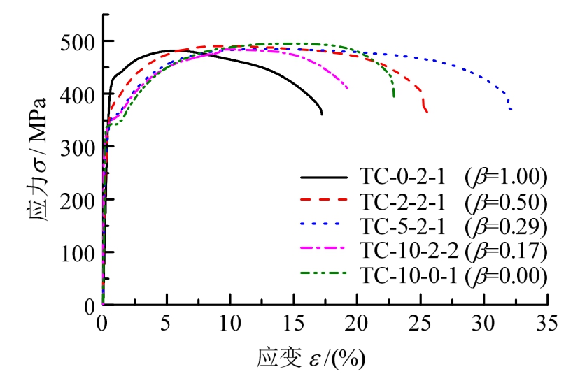
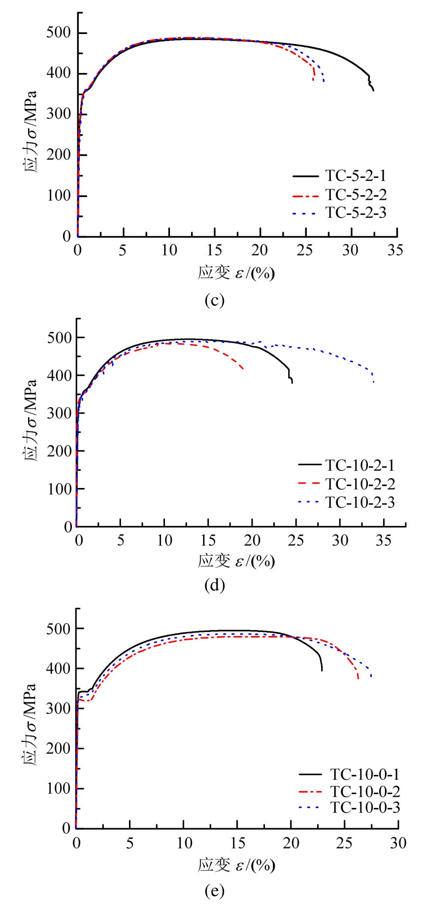
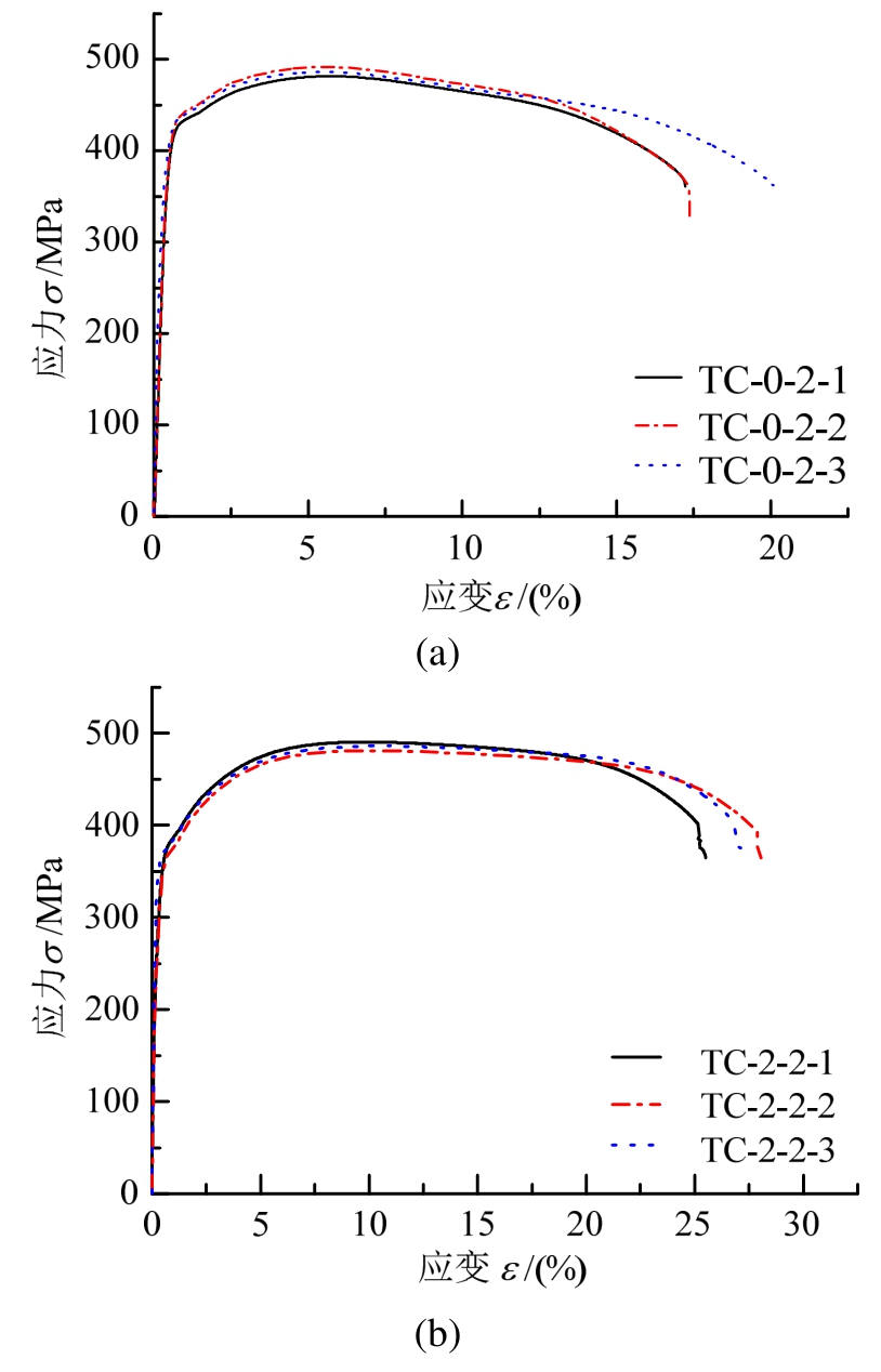
图11(a)~图11(e)是每组拉伸试件的应力-应变曲线(图11(d)中,因设备原因在达到抗拉强度后缺失引伸计数据,补充添加了由加载设备横梁位移数据换算得到的应变数据),其中应变为引伸计测得的复合钢板平均应变,应力为拉力除以复合板横截面积得到的平均应力。可以看出,低碳钢(试件编号为TC-10-0-1~3)有明显的屈服平台;而钛(试件编号为TC-0-2-1~3)则呈现出典型的非线性且无屈服平台的应力-应变曲线,因此取塑性应变0.2%对应的名义强度作为屈服强度。

图11 不同复合比钛-钢复合钢材拉伸应力-应变曲线
Fig.11 Stress-strain curves of TC steel with various clad ratios

TA2+Q235B钛-钢复合板的曲线介于基层和复层材料之间,如图12所示。可以看出来,应变在6%以下时,随着复合比β的降低,曲线的斜率越来越小,而且屈服平台也越发明显、长度变长。该类复合钢材抗拉强度对应的应变随复合比的提高而减小,说明塑性变形能力有所降低。上述特征是由于复层钛所占比率减少导致的,具体定量影响将在下文进一步讨论。

为研究基、复层在拉伸时的协同受力状态,对试件TC-10-2-3采用三维数字图像技术(DIC)采集应变数据,仪器型号为3D-ESPI系统Q300,测量精度为0.002%。图13是该试件发生明显颈缩时板侧面的应变分布,上侧2 mm为复层TA2,下侧10 mm为基层Q235B,颜色由紫变橙红代表应变越来越大。

图12 不同复合比下应力-应变曲线的比较
Fig.12 Comparison of stress-strain curves for specimens with various clad ratios

图13 DIC应变测量图
Fig.13 Photo of DIC strain measurement

根据DIC测量结果可以看出,应变由试件两端向中部逐渐变大,且同一横截面处沿板厚方向均匀分布,即基层和复层的应变相同,表明二者在拉伸过程中协同变形。这一结论与图11的应力-应变曲线结果吻合,即同一组三根试件应变测量位置沿板厚方向不同,但均能表示钛-钢复合钢材的整体变形。

2.3 典型力学指标

表3给出了所有试件应力-应变关系中的相关参数的均值,包括弹性模量E、屈服强度σ0.2、抗拉强度σu和断后伸长率A。其中试件TC-10-2-2的弹性模量数据因应变测量误差导致异常,所以未考虑此试件的弹性模量和屈服强度数据。从表中可以看出,钛-钢复合板的力学性能参数与复合比直接相关。

表3 TA2+Q235B复合钢材的力学性能参数
Table 3 Mechanical properties of TA2+Q235B TC steel

试件编号 βE/GPa σ0.2/MPa σu/MPaA/(%)TC-0-2-1~3 1.00104.0 416.7 486.0 49.5 TC-2-2-1~3 0.50148.7 347.3 485.7 45.3 TC-5-2-1~3 0.29176.3 320.6 486.7 33.3 TC-10-2-1~3 0.17193.5 332.0 490.0 28.4 TC-10-0-1~3 0.00205.4 330.7 486.7 26.3

从图14中弹性模量与复合比的对比可以看出,钛-钢复合板的弹性模量随复合比的提高而降低,这是因为低碳钢具有较高的弹性模量,而钛的弹性模量相对较低所导致的。

图14 弹性模量随复合比变化的对比图
Fig.14 Comparison of elastic modulus with clad ratio

此外,钛-钢复合板的屈服强度随复合比的提高而升高,如图15所示;这是由于低碳钢比钛具相对较低的屈服强度所导致的。

图15 屈服强度随复合比变化的对比图
Fig.15 Comparison of yield strength with clad ratio

钛-钢复合板的断后伸长率随复合比的提高而升高,如图16所示;这是由于低碳钢比钛具有相对较小的断后伸长率。

然而,抗拉强度受复合比的影响较小,如图17所示;这是由于两种材料的抗拉强度接近导致的。

3 本构模型

3.1 力学指标计算式

上文DIC测量结果表明,同一横截面处基层与复层内应变均匀分布,因此对钛-钢复合钢材在单向受力下的力学分析可使用平截面假定,并利用复层钛的弹性模量Ec和基层低碳钢的初始弹性模量Es可得到不同复合比对应的弹性模量E0;两种材料对应的横截面面积分别为AcAs,则有单位应变下的平衡条件:

由于两种材料具有相同宽度,式(1)可以简化为:

图16 断后伸长率随复合比变化的对比图
Fig 16 Comparison of elongation percentage after fracture with clad ratio

图17 抗拉强度随复合比变化的对比图
Fig.17 Comparison of tensile strength with clad ratio

式中:t为复合钢板总厚度;tc为复层厚度;ts为基层厚度;代入复合比β,可以表示为:

考虑到试验数据有限,本文利用有限元工具ABAQUS软件补充复合比为0.1、0.22、0.4和0.67的拉伸试件算例。

有限元算例的几何模型除基层、复层各自的厚度不同外,其他均与试件相同。建模采用三维实体单元C3D8R,分别使用TC-0-2组和TC-10-0组的试验材性数据赋予模型中复层和基层的材性本构,二者界面采用“Tie”命令实现完全粘接,模型采用的边界条件与实际试验加载条件和典型试验条件一致。最后计算结果同试验结果与式(3)吻合良好,如图18所示。

图18 弹性模量的有限元计算和试验结果与式(3)的比较
Fig.18 Comparison of calculated elastic modulus with finite element analysis and experimental results

结合有限元算例的屈服强度数据及试验结果,并利用软件Origin拟合出TA2+Q235B复合钢材屈服强度与复合比的关系,如图19所示。

图19 屈服强度拟合结果
Fig.19 Fitting results of yield strength

数据曲线呈现锯齿状的原因是有限元模拟的结果比试验值略偏大。拟合计算式如下:

式中:σ0.2为复合钢材屈服强度;σ0.2c为复层屈服强度;σ0.2s为基层屈服强度。由于本文数据有限,未来仍需补充更多算例和试验,以进一步修正该公式指数的取值。

由于复层和基层两种材料的抗拉强度值σucσus接近,所以不同复合比钛-钢复合钢材的抗拉强度σu并无太大变化,且有限元算例同样符合这一规律,如图20所示。抗拉强度的计算式采用线性表达式,如式(5)所示;对于其他类型复合钢材,当复层和基层材料抗拉强度值差异较大时,具体的表达式是否仍为线性还需进一步验证。

图20 抗拉强度的有限元计算和试验结果与式(5)的比较
Fig.20 Comparison of calculated tensile strength with finite element analysis and experimental results

3.2 应力-应变关系式

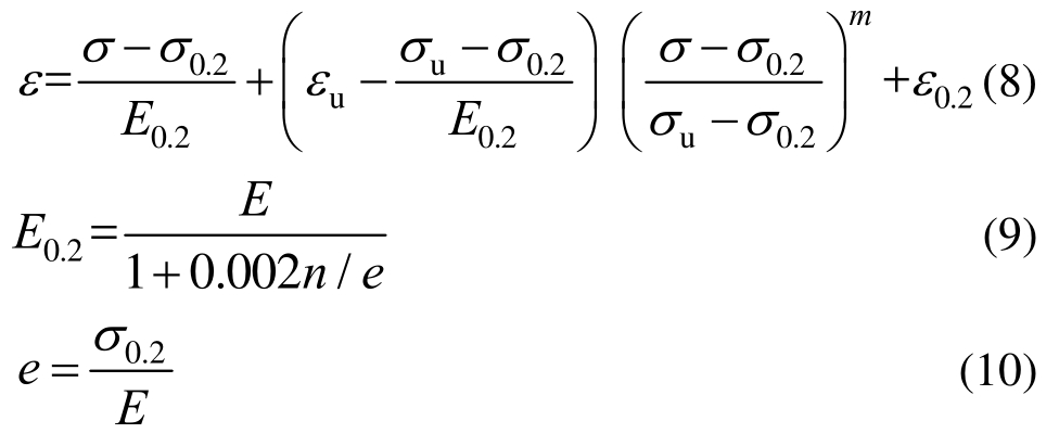
通过对TC-0-2-1~3一组TA2材性试验数据和应力-应变曲线的观察分析,可以看出,曲线呈现典型的非线性,可以采用Ramberg-Osgood的基本模型及其修正形式描述TA2的本构关系,进而结合Q235B低碳钢的三折线模型,制定TA2+Q235B复合钢材的本构模型。

Ramberg-Osgood模型[19]是由Ramberg和Osgood于1943年提出,且对塑性应变0.2%以下的应力-应变关系模拟较准确,但当塑性应变超过0.2%时不是特别适用。Rasmussen[20]在该模型基础上进行了修正:

σ σ0.2时:

n为应变硬化指数。钛合金可以按式(7)确定。

σ0.2σσu时:

式中:弹性模量E、屈服强度σ0.2、极限强度σuσ0.2对应的全应变ε0.2和极限强度对应的名义应变εu可通过拉伸试验获得。式(6)中的应变硬化指数按式(7)计算;式(8)中的应变硬化指数m可以利用试验数据通过非线性回归拟合标定;e表示σ0.2对应的弹性应变。基于该本构模型,表4列出了TA2非线性本构模型参数的取值。

表4 TA2非线性本构模型参数取值
Table 4 Measured values of non-linear constitutive model parameters of TA2

序号 牌号 E/GPa σ0.0/MPa σ0.2/MPa 0.01/0.2 σσε0.2 σu/MPa0.2/u σσεu n e E0.2/GPam 1 TA2 103 328 412 0.796 0.00612481 0.85655 0.0568713.094 0.00400 13.6 4.029 2 TA2 99 327 421 0.777 0.00626491 0.85743 0.0526411.856 0.00429 15.0 2.160 3 TA2 111 338 417 0.811 0.00555486 0.85802 0.0546514.263 0.00376 12.9 4.181均值 TA2 104 331 417 0.795 0.00598486 0.85733 0.0547213.071 0.00402 13.8 3.457

图21给出了拉伸试验实测的应力-应变曲线和拟合得到本构模型的对比图,可以发现二者吻合良好。

图21 TC-0-2组试验曲线与拟合曲线对比
Fig.21 Comparison of test curves with fitting results of TC-0-2 specimen group

钟善桐[21]总结了Q235钢材的力学性能特点,认为钢材的应力-应变曲线可以分为弹性段、弹塑性段、塑性段、强化段和二次塑流等五个阶段;参照班慧勇等[22]对于不同强度等级钢材力学性能的分析总结,本文将Q235钢材应力-应变曲线简化为有屈服平台的多折线模型,如图22所示。

图22 有屈服平台的多折线模型
Fig.22 Multi-linear constitutive model with yield plateau

所以,Q235本构关系可以表示为:

式中参数根据试验数据确定;对于本文涉及的Q235钢材,具体取E=205 GPa,fy=330.7 MPa,fu=486.7 MPa,εy=0.002,εst=0.011。然而,强化阶段的后半段上升缓慢,影响强化段的模量取值,取0.01E为强化段的模量较为准确,经推算,取εu=0.086。

钛-钢复合钢材的应力-应变本构关系与复合比β有直接关系;由于钛本构关系的复杂性,很难直接显式表达出该类复合钢材的应力-应变关系。本文基于上述提出的复层和基层材料的关系模型,使用有限元软件ABAQUS计算复合比为0.17、0.29和0.5的试件,分别使用上文提及的TA2和Q235B的本构模型,得到该类复合钢材的应力-应变曲线,并与试验结果进行对比,如图23所示;可以看出,有限元计算结果与试验结果吻合良好,包括弹性阶段、屈服阶段及应变强化阶段;但当应力到达极限抗拉强度后,由于颈缩现象明显,有限元模拟分析收敛困难,无法给出曲线下降段的结果。

图23 不同复合比下钢材应力-应变曲线试验与有限元分析结果对比
Fig.23 Comparison between experimental and finite element analysis results for stress-strain curves with various clad ratios

4 其他试验结果与分析

剪切和粘结试验结果如表5所示。可以看到,本批钢材的复合界面剪切强度不满足标准规定的限值,且粘结强度也偏低;但对拉伸试验结果的分析可以看出,其低剪切强度和低粘结强度对拉伸力学指标及破坏基本没有影响。这是由于在受拉过程中,钛-钢复合材料处于均质稳定的状态,复合界面在切线方向的剪力不足以导致两种材料失去协同作用的能力,在法向方向不产生作用力以至材料脱粘。

表5 剪切强度和粘结强度试验值
Table 5 Measured values of shear strength and bond strength

编号 剪切强度/MPa 粘结强度/MPa 1 38.3 41.7 2 43.7 43.9 3 59.2 未压先坏标准限值 140[4] 无

弯曲试件试验前为平直板,弯曲试验结果如图24所示,受弯曲部位表面均未出现可见的表面裂纹,表明复合界面结合良好。

图24 弯曲试验结果
Fig.24 Surface appearance of bent sheets

该类复合钢材的冲击韧性试验结果见表6,远大于传统低合金结构钢要求的27 J~34 J[23],表明其冲击韧性良好。

表6 各试件的冲击功及平均值
Table 6 Impact energy and average value of each specimen

试样编号 1 2 3冲击韧性KV2/J 106.9 117.3 112.4 112

钛-钢复合板的硬度检测结果如表7所示,可以看出,复合界面附近硬度比基层和复层的都要小。结合金相试验,如图25所示,可以得知钢材在热轧复合时,结合界面产生了TiC,FeTi化合物,产生的脆性金属间化合物极细小,组织晶粒也较小,且在靠近界面的低碳钢层发生了明显的脱碳现象,导致了复合界面层的硬度比基层和复层都要小。

表7 TA2+Q235B复合钢材硬度检测结果
Table 7 Hardness test results of TA2+Q235B clad steel

检测区域 实测值Q235B区 224 209 189 195 215 207过渡区 154 157 157 160 156 145 TA2区 274 224 220 211 224 224

图25 金相照片
Fig.25 Metallographic photo

5 结论

本文针对TA2+Q235B钛-钢复合钢材,完成了15个标准材性拉伸试验、总结了其力学特性,并提出了力学指标的计算式和本构模型;完成了剪切、粘结、弯曲、冲击韧性和硬度等试验;得到如下主要结论:

(1) TA2+Q235B复合钢材拉伸性能的各参数与复合比有密切的关系,随着复合比的增大,复合钢材的弹性模量降低,屈服强度和断后伸长率升高,抗拉强度变化较小。

(2) 本文提出的含复合比参数的力学指标计算式,可准确评估TA2+Q235B复合钢材的弹性模量和屈服强度。

(3) TA2的应力-应变关系可采用修正的R-O模型表达,Q235B的应力-应变曲线满足多折线模型,TA2+Q235B复合钢材的本构关系与复合比直接相关。

(4) 有限元模拟TA2+Q235B复合钢材的本构关系与试验结果吻合良好,可采用本文提出的模型计算该类钢材不同复合比的拉伸应力-应变关系。

(5) 本批复合钢材的低剪切强度和低粘结强度对拉伸力学性能基本没有影响。

(6) TA2+Q235B复合钢材的受弯和冲击性能良好,同时,硬度结果显示,复合界面层的硬度较基层和复层的低。

参考文献:

[1]闫力.钛钢复合板的特点及应用领域[J].中国钛业,2011(3): 12-14.Yan Li.Behaviotsard applications of Ti/Steel composite sheets [J].Titanium industry in China, 2011(3):12-14.(in Chinese)

[2]Huiyong Ban, Yongjiu Shi, Xiaoyan Tao.Use of clad steel in engineering structures [C]// Proceedings of the Fifteenth East Asia-Pacific Conference on Structural Engineering &Construction, Xi’an, China, 2017: 1167-1173.

[3]孟宪斌, 易彩虹, 吴小玲, 等.钛及钛合金复合材料发展及工业应用[J].中国化工装备, 2013, 15(6): 3-7.Meng Xianbing, Yi Caihong, Wu Xiaoling, et al.The development and industrial application of titanium &titanium alloy clad material [J].China Chemical Industry Equipment, 2013, 15(6): 3-7.(in Chinese)

[4]GB/T 8547-2006, 钛-钢复合板[S].北京: 中国标准出版社, 2006.GB/T 8547-2006, Titanium clad steel plate [S].Beijing:Standards Press of China, 2006.(in Chinese)

[5]Jifeng Sun, Xiaojun Liang, Sihai Jiao.Study on the interface of direct hot rolling titanium-clad steel plates[J].Baosteel Technical Research, 2017, 11(1): 32-39.

[6]王宽, 朱海平, 宋振莉, 等.钛钢复合板界面特征研究述评[J].功能材料, 2017, 48(4): 25-32.Wang Kuan, Zhu Haiping, Song Zhenli, et al.Review on characteristics of interface of titanium clad steel plate [J].Functional Materials, 2017, 48(4):25-32.(in Chinese)

[7]段文森, 鲁汉民, 刘建新.金属爆炸复合界面的疲劳裂纹扩展特性及断裂机制的研究[J].稀有金属材料与工程, 1989, 3(8): 6-10.Duan Wensen, Lu Hanmin, Liu Jianxin.Study on fatigue crack propagation and fracture mechanisms of explosive clad metal interface [J].Rare Metal Materials and Engineering, 1989, 3(8): 6-10.(in Chinese)

[8]杨扬.钛/钢爆炸复合界面的微观组织结构和力学行为[J].材料导报, 1994, 8(5): 26.Yang Yang.The microstructures in the explosive cladding titanium/mild steel interface after heat treatment[J].Materials Review, 1994, 8(5): 26.(in Chinese)

[9]Motarjemi A K, Kocak M, Ventzke V.Mechanical and fracture characterization of a bi-material steel plate [J].International Journal of Pressure Vessels and Piping,2002, 19(3): 181-191.

[10]Zhichao Zhu, Yi He, Xinjin Zhang, et al.Effect of interface oxides on shear properties of hot-holled steel clad plate [J].Materials Science & Engineering A, 2016,669: 344-349.

[11]施刚, 朱希.高强度结构钢材单调荷载作用下的本构模型研究[J].工程力学, 2017, 34(2): 50-59.Shi Gang, Zhu Xi.Study on constitutive model of high-strength structural steel under monotonic loading[J].Engineering Mechanics, 2017, 34(2): 50-59.(in Chinese)

[12]杨璐, 卫璇, 张有振, 等.不锈钢母材及其焊缝金属材料单拉本构关系研究[J].工程力学, 2018, 35(5): 125-130.Yang Lu, Wei Xuan, Zhang Youzhen, et al.Research on the tensile stress-strain relation of stainless steel base material and its weld metal material [J].Engineering Mechanics, 2018, 35(5): 125-130.(in Chinese)

[13]GB/T 3620.1-2007, 钛及钛合金牌号和化学成分[S].北京: 中国标准出版社, 2007.GB/T 3620.1-2007, Designation and composition of titanium and titanium and alloys [S].Beijing: Standards Press of China, 2007.(in Chinese)

[14]GB/T 700-2006, 碳素结构钢[S].北京: 中国标准出版社, 2006.GB/T 700-2006, Carbon structural steels [S].Beijing:Standards Press of China, 2006.(in Chinese)

[15]GB/T 228.1-2010, 金属材料拉伸试验第1部分: 室温试验方法[S].北京: 中国标准出版社, 2010.GB/T 228.1-2010, Metallic materials-tensile testingpart 1: Method of test at room temperature [S].Beijing:Standards Press of China, 2010.(in Chinese)

[16]GB/T 6396-2008, 复合钢板力学及工艺性能试验方法[S].北京: 中国标准出版社, 2008.GB/T 6396-2008, Clad steel plates-Mechanical and technological test [S].Beijing: Standards Press of China,2008.(in Chinese)

[17]GB/T 228.1-2010, 金属材料弯曲试验方法[S].北京:中国标准出版社, 2010.GB/T 228.1-2010, Metallic materials-Bend test [S].Beijing: Standards Press of China, 2010.(in Chinese)

[18]GB/T 229-2007, 金属材料瞎比摆锤冲击试验方法[S].北京: 中国标准出版社, 2007.GB/T 229-2007, Metallic materials-Charpy pendulum impact method [S].Beijing: Standards Press of China,2007.(in Chinese)

[19]Ramberg W, Osgood W R.Description of stress-strain curves by three parameters [J].National Advisory Committee for Aeronautics, 1943, TN902.

[20]Rasmussen K J R.Full-rage stress-strain curves for stainless steel alloys [J].Journal of Constructional Steel Research, 2003, 59(1): 47-61.

[21]钟善桐.钢管混凝土统一理论[J].哈尔滨建筑工程学院学报, 1994, 27(6): 21-28.Zhong Shantong.The unified theory of concrete filled steel tube (CFST) [J].Journal of Harbin University of Civil Engineering, 1994, 27(6): 21-28.(in Chinese)

[22]班慧勇, 施刚, 石永久.高强钢焊接箱型轴压构件整体稳定设计方法研究[J].建筑结构学报, 2014, 35(5):57-64.Ban Huiyong, Shi Gang, Shi Yongjiu.Research on design method for overall buckling behaviour of welded box columns fabricated from high-strength steel [J].Journal of Building Structures, 2014, 35(5): 57-64.(in Chinese)

[23]GB/T 1591-2008, 低合金高强度结构钢[S].北京: 中国标准出版社, 2008.GB/T 1591-2008, High strength low alloy structural steels [S].Beijing: Standards Press of China, 2008.(in Chinese)

STUDY ON THE MATERIAL PROPERTIES AND CONSTITUTIVE MODEL OF TITANIUM-CLAD STEEL

BAN Hui-yong1 , BAI Ri-sheng2 , LIU Ming3 , LI Wen-bin3 , BAI Yin2
(1.Key Laboratory of Civil Engineering Safety and Durability of China Education Ministry,Department of Civil Engineering, Tsinghua University, Beijing 100084, China;2.School of Transportation Science and Engineering, Beihang University, Beijing 100191, China;3.Product Development Department, Anshan Iron & Steel, Anshan, Liaoning, 114009, China)

Abstract: To study the mechanical properties of titanium-clad (TC) steel systematically, a series of tests on TA2+Q235B (2 mm~12 mm thick) TC steel plates are carried out including tension coupon test with various clad ratios, shear test, combine test, bending test, impact test and hardness test.Based on the test results, basic mechanical properties of this kind of TC steel are obtained.In particular, the mechanical properties under monotonic tensile loading are focused on.It is indicated that the characteristics of the stress-strain curves and typical mechanical properties of the titanium-clad steel are directly related to the clad ratio.With an increase of the clad ratio, the yield plateau disappears gradually and the elastic modulus decreases, whilst the yield strength and the elongation increase although the change in tensile strength is insignificant.These phenomena are relatedto the mechanical properties of titanium (TA2) and low carbon steel (Q235B).Based on the tensile test data and finite element analysis results, a calculation method for determining the mechanical index of the TC steel is developed, and a constitutive model of the TC steel is proposed in this paper.In addition, despite the fact that the strengths obtained from the shear and combine tests were low, their effects on the tensile properties are rather limited.The bending performance and impact properties of the TC steel are good; the hardness of the base layer and cladding layer are higher than that at the bonding interface region.This work may provide basic reference and the material constitutive model for research of the TC steel in structural engineering, and may promote its engineering applications.

Key words: Titanium-clad steel; experimental investigation; clad ratio; finite element analysis; constitutive model

中图分类号:TU391;TU317

文献标志码:A

doi: 10.6052/j.issn.1000-4750.2018.06.0343

文章编号:1000-4750(2019)07-0057-10

收稿日期:2018-06-16;修改日期:2018-09-30

基金项目:国家自然科学基金项目(51608300)

通讯作者:班慧勇(1985―),男,内蒙古呼和浩特人,特别研究员,博士,主要从事高性能钢材与钢结构研究(E-mail: banhy@tsinghua.edu.cn).

作者简介:

白日升(1993―),男,山西临汾人,硕士,主要从事复合钢材的研究(E-mail: bairsh@buaa.edu.cn);

刘 明(1980―),男,辽宁鞍山人,高工,硕士,主要从事高性能钢材研究(E-mail: aglm6@163.com);

李文斌(1978―),男,四川巴中人,高工,学士,主要从事钢铁产品于新工艺开发工作(E-mail: aglwb@163.com);

白 音(1980―),男,山西太谷人,讲师,博士,主要从事空间钢结构抗火受力性能研究(E-mail: baibowenbai@buaa.edu.cn)